Traditionally, focus on workplace sitting has emanated primarily from musculoskeletal medicine with an ergonomics perspective and emphasis on musculoskeletal pain and disorders (1, 2). Research has shown that time spent being sedentary (operationalized as sitting time) may also have detrimental effects on cardiometabolic biomarkers, type 2 diabetes, cardiovascular disease (CVD), and premature mortality (3–5). Prolonged sitting appears to be a risk factor even among individuals who engage in recommended levels of daily moderate-to-vigorous physical activity (MVPA) (6). Hence, sedentary behavior is increasingly recognized as a distinct type of behavior and risk factor for multiple cardiometabolic health outcomes (6, 7).
Cardiorespiratory and muscular fitness reflect current physical performance status. Cardiorespiratory fitness is the capacity of the cardiovascular and pulmonary systems to supply oxygen during sustained exercise. Poor cardiorespiratory fitness is a strong risk factor for morbidity and premature mortality, especially of cardiovascular origin, among adults (8). Muscular fitness, ie, muscular power, strength and endurance, is related to musculoskeletal morbidity, eg, low-back pain, but is also considered important for hormonal and substrate metabolism, particularly for insulin sensitivity of active skeletal muscles (9), and is related to premature mortality among adults (10). Adverse associations of sedentary behaviors have been identified with cardiorespiratory and muscular fitness among children and young adults (11, 12), and with muscular fitness among the elderly (13). Interestingly, leisure-time TV viewing was negatively associated with muscular fitness, whereas Internet usage was positively associated with muscular strength (13).
In line with the opposing findings of occupational and leisure-time physical activity on global health and sickness absence (17), we and others have previously suggested that sitting time at work may be less deleterious to cardiometabolic health than sitting during leisure time (14–16). Due to the increasing prevalence of sedentary occupations, working adults are more exposed to the potentially detrimental risks of prolonged sedentary behavior. Thus, the possible difference between sitting at work and during leisure time should be further explored in relation to other health outcomes.
The overall aim of the study was to investigate how sedentary behavior is associated with key markers of cardiorespiratory and muscular fitness in a sample of working adults, and how domains of sitting and work influence these associations.
Methods
Ethics statement
The Ethics Committee of Copenhagen County approved this study (KA-20060011). All participants gave their written informed consent prior to their inclusion in the study.
Design and participants
Participants comprised all working adults from a Danish cross-sectional population-based study called Health2006, which was conducted June 2006–2008 at the Research Centre for Prevention and Health. The participants in Health2006 were drawn as a random sample from the background population aged 18–69 years and living in the South-Western part of the greater Copenhagen area. A total of 3471 persons entered the study (participation rate: 44.7%). All participants completed questionnaires on health, lifestyle, and socio-demographic factors, and underwent a health examination with assessment of anthropometric measures, and cardiorespiratory and muscular fitness. Details of the enrolment and examination procedures are described elsewhere (18).
Sitting time
Sitting time was assessed using sedentary items from the Physical Activity Scale 2 (PAS2) (19), a revised version of the Physical Activity Scale (PAS) (20) validated against diaries, accelerometer and VO2Max (20, 21). We used cognitive interviewing to test PAS2 and assess construct validity, indicating superior structure to PAS (19). In PAS2, participants report hours and minutes spent in (i) usual weekly leisure time and work physical activity of light, moderate, and vigorous intensity and (ii) daily sedentary pursuits during leisure time and work. Leisure-time sitting (hours/day) was derived as a continuous variable from the question: “In your leisure time, how many hours and minutes per day do you spend watching TV, sitting quietly, reading, and listening to music or the like?”. Work-time sitting (hours/day) was derived as a continuous variable from the question: “During work, how many hours and minutes per day do you engage in sedentary work?”.
Cardiorespiratory and muscular fitness
Cardiorespiratory fitness included estimated VO2Max (ml/kg/min) and systolic and diastolic blood pressure (BP) (mmHg). VO2Max was measured by the performance-based progressive Danish step test (www.health-calc.com/fitness-tests/the-danish-step-test), validated against a Wattmax test (22). Systolic and diastolic BP were each measured twice with a mercury sphygmomanometer after 5 minutes of rest in a lying position, and the mean of the two measurements was considered for the analysis.
Muscular fitness included hand-grip strength (HGS) (kg) and lower-limb extension power (LEP) (watt/kg). HGS was measured in the dominant hand using a Jamar dynamometer (Sammons Preston Rolyan, Chicago, IL, USA). The best of three measurements was considered the maximum HGS (23). High inter-rater and test–retest reliability have been demonstrated for these procedures (24). Maximum single LEP was measured using a Nottingham Leg Extensor Power Rig (Medical Engineering Unit, University of Nottingham Medical School, Nottingham, UK). The maximum speed of the flywheel was used to calculate the average power of the lower-limb extensor muscles. Participants familiarized themselves with the procedure in two test-trials, and were given verbal encouragement during measurements. The right lower limb was measured unless the participant had a knee or ankle problem, in which case the left-lower limb was measured (25). High test-retest reliability of the LEP measurement has been reported (26).
Health examinations were conducted from 07.00–12.30 hours. Participants were asked to fast as of midnight prior to the examination.
Covariates
Sociodemographic covariates and occupation type
Sociodemographic covariates included sex, age [19–29, 30–39, 40–49, 50–59, 60–72 years, dichotomized in <50/≥50 years since muscle strength is age-reliant (26, 27)], education (basic=up to high school, ≤1 year of vocational training, short=1–3 years of vocational training or equivalent, and long-term=>3 years vocational training, ie, academic degree), and occupation type [categorized as desk-based (jobs mainly requiring sitting, little walking), light walking (eg, light industrial work, kitchen job, teaching), some physical effort (eg, construction work, service delivery, moving boxes), and hard physical effort (eg, dredging and concrete work], based on self-report.
Behavioral covariates
Behavioral covariates included self-reported smoking (categorized by current and non-current smoker), alcohol consumption [based on Danish recommended maximum drinking limits (≤14 and ≤7 units per week for men and women, respectively), diet [obtained from a 48-item food-frequency questionnaire (28) and classified into three group of diets: imprudent (ie, low fruit/vegetables/fish and high fat intake), moderately prudent (ie, medium fruit/vegetables/fish/fat intake) and prudent (ie, high fruit/vegetables/fish and low fat intake)]. This diet classification has been validated as a measure of dietary quality in a Danish population (28). Self-reported weekly leisure-time moderate-to-vigorous physical activity (MVPA) (hours/week) and occupational physical activity (hours/week) were derived from the PAS2 questionnaire (19). Participants were classified by current recommendations for Danish adults to engage in ≥30 minutes of MVPA per day (categorized by <3.5 and ≥3.5 hours/week). Occupational physical activity was derived as a continuous variable from the question “During work, how many hours and minutes per day do you engage in hard physical work activities (eg, heavy lifting or stair climbing)?”. A proxy of occupational stress was derived from the question “Do you have influence on your work?” with 5-point categories from “To a very little extent” to “To a very great extent”.
Anthropometric covariates
Anthropometric covariates included height and waist circumference. Height was measured without shoes to the nearest centimeter. Waist circumference was measured at midway level between the lowest rib and the iliac crest. All measurements followed a standardized protocol and the same four trained nurses and laboratory technicians carried out all measurements.
Study sample
From a total sample of 3471 Health2006 participants, 2544 were included in the analyses. Reasons for exclusion of participants were not working (N=833, 24%) and missing data on sitting time (N=76, 2%) and work status (N=18, 0.5%). Work status included all full- or part-time and voluntary work, irrespective of working hours. One participant was excluded because of mobility limitations. LEP was included in examinations after study start and is measured in a subsample (N=319).
Statistical analysis
Associations between work- and leisure-time sitting and each cardiorespiratory and muscular fitness measure were explored in multiple linear regression models. Models included the covariates sex, age, height, education, smoking, alcohol consumption, diet, MVPA, and occupational physical activity. Only participants with complete data were included in analyses. Restricted linear splines (10, 50, 90 percentiles) were tested in all analyses to account for non-linear associations of sitting time. Fit was compared using an F-test. When necessary, the fitness markers were log transformed and results were back transformed.
Participants in anti-hypertensive treatment (N=174) were excluded from systolic and diastolic BP analyses. BP models were repeated with adjustment for waist circumference to consider potential confounding by adiposity and with a proxy for occupational stress to account for a possible effect of job stress on BP. Seasonal variation (defined by the month of health examination), and adjustment for the respective other sitting domain was also investigated to account for possible interrelation between work- and leisure-time sitting.
No consistent sex-interactions were found hence models are presented for men and women combined. Results for HGS are presented for participants <50 and ≥50 years because of a significant interaction with age.
P-values <0.05 were considered statistically significant. Statistical analyses were performed with software package SAS 9.3 (SAS Institute, Cary, NC, USA).
Results
Baseline characteristics by domain of sitting time, covariates, and cardiorespiratory and muscular fitness are presented in table 1. Mean daily hours of sitting were 3.1 [standard deviation (SD) 1.4] during leisure-time, and 4.1 (SD 2.7) during work.
Table 1
Baseline characteristics of the study population by sex, sitting time, covariates and cardio-respiratory and muscular fitness. [BP=blood pressure; freq=frequency; HGS=handgrip strength; LEP= lower-limb extension power; MVPA=moderate-to-vigorous physical activity; SD=standard deviation].

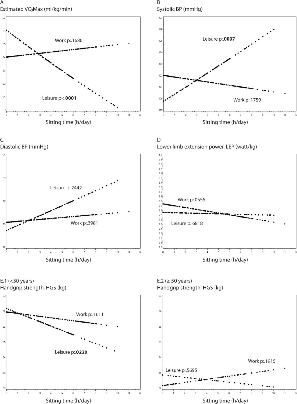
The results of regression analyses are presented in figure 1 (A–E). VO2Max (figure 1A) was significantly, detrimentally associated with leisure-time sitting (P<0.05), but not associated with work-time sitting. Systolic BP (figure 1B) was significantly detrimentally associated with leisure-time sitting (P<0.05), but not with work-time sitting. Neither work- nor leisure-time sitting was associated with diastolic BP (figure 1C). When adjusting for waist circumference, the association between leisure-time sitting and systolic BP remained significant (P=0.0298) (data not shown). Adjusting for occupational stress did not change the associations with systolic or diastolic BP (data not shown). Neither work- nor leisure-time sitting were associated with LEP (figure 1D), whereas leisure-time sitting was significantly, detrimentally associated with HGS (figure E.1–2) (P<0.05) among adults <50 years (figure E.1) but not ≥50 years (figure E.2).
Figure 1
Regression plots for work and leisure-time sitting. A: Associations with estimated VO2Max (N=2310). B: Associations with systolic blood pressure (BP) (N=2249). C: Associations with diastolic BP (N=2249). D: Associations with lower-limb extension power (LEP) (N=316). E: Associations with handgrip strength (HGS) for adults <50 years (E.1) (N=1464) and ≥50 years (E.2) (N=1014). Plots are adjusted for sex, age, education, occupational physical activity, and moderate to vigorous physical activity (MVPA). Further adjustment for smoking in VO2Max (A), smoking, alcohol consumption, diet in BP (B,C), height in HGS (E1, E2).

Adjustment for leisure-time sitting was performed in analyses with work-time sitting and vice-versa to account for possible interrelation between the two domains. In analysis with work-time sitting, associations attenuated slightly after adjustment for leisure-time sitting, otherwise little changed (data not shown). To account for outliers, we excluded participants with <0.5 hours/day leisure-time sitting >8 hours/day, and work-time sitting >9 hours/day; results remained unchanged. Furthermore, possible confounding by seasonal variation was investigated, but this did not change the direction or magnitude of the associations (data not shown).
Discussion
In the present study, we investigated the associations of work- and leisure-time sitting with key markers of cardiorespiratory and muscular fitness in a population-based study of working adults. We found significant detrimental associations of leisure-time sitting with VO2Max, systolic BP, and HGS among adults <50 years. We did not find any statistical significant associations with sitting at work. Findings converge to one main suggestion: sitting at work is less harmful than sitting during leisure time for cardiorespiratory and muscular fitness among adults.
The observed associations between leisure-time sitting and VO2Max, systolic BP and HGS are comparable to what others have found. To our knowledge the relationship between sedentary behavior and VO2Max has not been specifically investigated among adults. However, several studies among children and youth have reported detrimental associations between sitting time and VO2Max (11, 29). VO2Max is drastically reduced among healthy adults confined to bed rest (30), however, bed rest and everyday sedentary behaviors constitute two different situations that may not have the same physiological implications (29). Nonetheless, our results support an adverse relationship of sitting time with VO2Max also among adults, yet only for leisure-time sitting.
Our findings regarding systolic BP add to the mounting evidence of an association with leisure-time sitting; whilst few have considered other sitting domains (31). The lack of association with work-time sitting corresponds to other studies (15, 31). Work is a potential source of everyday stress, correlated with physiological responses including high BP (32). Therefore, we adjusted BP models as a proxy for occupational stress. Results were unchanged which could indicate that sedentary occupation may not have a negative influence on BP. The association between leisure-time sitting and systolic BP persisted even after adjustment for waist circumference, unlike findings of other studies (15).
Associations between sedentary behavior and muscular fitness were confined to HGS. This is perhaps not surprising, as our sample size including LEP data (N=319) could limit the ability to discern associations between sitting time and LEP. LEP has been identified as a method to assess explosive muscle power (33), and prolonged sitting induces a lack of contraction of lower limb muscles (34). As regards handgrip, results showed that leisure-time sitting was associated with a decreased HGS, but only among adults <50 years, which was rather surprising since HGS has been described as an overall muscle performance test, particularly useful among the middle-aged and elderly (26, 27). As the study is restricted to a working population, including fit elderly subjects, our results could indicate a “healthy worker bias”. However, our findings (ie, sitting during leisure-time but not at work is associated with HGS) are comparable to those of Hamer et al (13), which showed adverse effects of leisure-time TV-viewing on HGS among older adults, while Internet usage was positively associated with HGS (13).
Overall, the results of the present study indicate that the manner in which sitting time is accrued is important for associations of sitting time with cardiorespiratory and muscular fitness. This is in line with mounting evidence for a differential effect of different domains of sitting (14, 16, 35) and suggests that sitting during work and leisure time involve different types of sitting [eg, the modality of sitting (posture, duration and number of breaks)], attributes of the environment, and the social contexts (36). Results may equally give claim to another interpretation: they might reflect residual socioeconomic confounding, eg, is a truck driver who sits a lot comparable to a desk-based officer? Hence, it may be that something else is driving the associations, although we adjusted for years of education and occupational physical activity. Experimental studies have shown that prolonged sitting leads to metabolic abnormalities via suppressed action of muscle lipoprotein lipase and insulin, supporting a unique “inactivity physiology” paradigm (37–39) and hence, we believe that sedentary behaviors may (also) influence health via pathways that are independent of social class.
The study’s strengths includes the information on distinctive sedentary behaviors. Leisure-time was not limited to TV-viewing. Also, we were able to adjust for significant lifestyle and socioeconomic characteristics; occupational physical activity is of importance. Finally, the coverage of the cohort increases the applicability of the findings to the Danish population, although restricted to those in work, as imposed by our study’s aim.
The study’s limitations should also be noted. Sitting time is self-reported and hence relies on the participant’s ability to remember and identify sitting time, so it can be prone to (un)conscious misreporting. This could particularly be the case with the reporting of sitting at work. Participants might report their daily working hours as work-time sitting, and thus overestimate their sitting and not reflect differences in breaks between work- and leisure-time sitting. Likewise participants might underestimate their leisure-time sitting, as it can be difficult to recall. That said, it is unfeasible to identify the domains in which sitting occurs from objective measurements alone. Finally, a major limitation of the study is its cross-sectional design; we cannot rule out the possibility of reverse causality, namely, poor cardiorespiratory and muscular fitness, due to any reason, make people sit more.
Concluding remarks
In conclusion, we observed differential associations of work- and leisure-time sitting with key markers of cardiorespiratory and muscular fitness among working adult men and women. Many studies have focused on a single domain of sitting time or have only considered the sum of sedentary behaviors. This may blur the distinction in the relationships with different sedentary behaviors. Workplace strategies to reduce sitting are today being formulated with an expected reduction in health risk factors. Hitherto, evidence on the impact on cardiorespiratory and muscular fitness is truly limited. Given the emerging focus on reducing the amount of time spent sitting at work, this identified discrepancy between work- and leisure-time sitting was rather surprising. Further investigation is warranted to elucidate the pathways through which different sedentary behaviors leads to adverse health effects.



