Various studies have demonstrated the influence of poor health on labor force exit. In a meta-analysis, self-rated poor health was a risk factor for disability benefit [relative risk (RR) 3.61], unemployment (RR 1.44) and early retirement (RR 1.27) (1). Different analytical techniques have been used to estimate the strength of the relation between poor health and a specific exit route in longitudinal studies. Most studies have explored the relation between poor health and loss of paid employment by focusing on one specific exit route, primarily disability benefit and early retirement, and either used logistic regression analysis based on complete follow-up (eg, 2), or Cox proportional hazard analysis with censoring of event times for workers at the end of their follow-up (eg, 3, 4). In recent years, some studies have included multiple exit routes by conducting a stratified Cox analysis comparing workers within separate exit routes with those workers who remained in paid employment (eg, 5, 6).
The disadvantage of these models is that they ignore the fact that exit routes are, to some extent, competing outcomes. For example, receiving a disability benefit (which requires health problems in order to be eligible) is an event typically taking place earlier in life than early retirement, which results in healthier workers exiting paid employment via early retirement. In addition, exit routes may work as communicating vessels, eg, blocking one exit route may lead people to choose another route. Also, dropping out of the labor force through one particular route may depend on eligibility criteria. Thus, it is important to include these so-called competing events (ie, exit routes other than the event of interest) in the analysis when estimating the relation between health and labor force exit. Until now, few studies have applied a competing risk analysis to determine the relation between poor health and multiple exit routes (7–9). Competing risk analysis is an alternative for conventional survival analysis in the presence of multiple (competing) exit routes of paid employment. Moreover, the Fine and Gray (F&G) approach allows for direct estimation of absolute risks (10). Absolute risk estimates give additional insight into the impact of poor health on labor force exit. For example, it is relevant whether the absolute risks are 4% versus 2% for workers with poor and good health respectively or 20% versus 10%. This is also important when comparing the impact of poor health on leaving the workforce across different countries with different disability arrangements, policies and legislation for employment protection. For instance, previous research found that in Scandinavian countries, individuals with poor health and lower educational level participate more often in the labor market than similar individuals from other welfare state regimes (11). Little is known about how the type of welfare state regime plays a role in the relation between health and labor force exit. As a first exploratory step, this study looked at the relation between poor health and exit from paid employment within three welfare state regimes in Europe.
The aims of the current study were to (i) determine the influence of poor health on multiple (competing) exit routes from paid employment among older workers, in terms of relative as well as absolute risk, (ii) assess whether these risks are different among European welfare state regimes, and (iii) evaluate the differences in estimates of relative and absolute risks between two analytical techniques, ie, a cause-specific Cox versus an F&G approach.
Methods
Study sample and design
A longitudinal study with a 6-year follow-up was conducted among respondents from 11 European countries in four waves of the Survey of Health, Ageing, and Retirement in Europe (SHARE) (12). SHARE started in 2004, aiming to gain insight into aging and how it affects individuals in the diverse cultural settings of Europe. For that purpose, data on health, socioeconomic status, and family relationships were collected by interview (13, 14). The overall household response in the first wave (release 2.6.0) across all SHARE countries was 62%, yet substantial differences were observed between countries (15). Due to different institutional conditions, a uniform framework for sampling was not achievable. Different national and local registries were used to permit stratification by age. Sampling designs varied from simple random sampling from national population registers to multi-stage sampling using regional/local population registers (16).
Data from the first (2004–2005 release 2.6.0) (17), second (2006–2007 release 2.6.0) (18, 19), third (2008–2009 release 1.0.0) (20–22), and fourth (2011–2012 release 1.1.1) (23–25) wave were used in this study. Figure 1 shows the study flow, starting at baseline with 13 282 participants aged between 50 years and the country specific retirement age (43% of the total study population N=30 816). A total of 78 participants lacked data on employment status, resulting in a study population of 13 204 people, of whom 7174 (54%) were in paid employment. During follow-up, 5621 of them participated in at least one follow-up measurement. For 348 participants, either information on employment status at follow-up or demographic characteristics at baseline was missing, or the self-reported date of transition out of employment was later in time than the last wave interview, ie, they reported future labor force exit rather than actual exit. This resulted in a study population of 5273 participants.
The Ethics Committee of the University of Mannheim reviewed and approved SHARE (26).
Labor force participation
The outcome of the current study was self-reported work status, which was ascertained during follow-up. At waves 2 and 4, a single question was used: “In general, which of the following best describes your current employment situation? Retired, employed or self-employed, unemployed and looking for work, permanently sick or disabled, homemaker, other (rentier, living off own property, student, voluntary work)”. For each category of labor force exit, the month and year of exit were asked. At wave 3, a life-course approach was used to assess all periods of paid employment and exit from paid employment. Participants answered the question “Which of these best describes your situation after you left your last job?” The year of exit from paid employment was ascertained when applicable. Follow-up time was defined as time in months since inclusion in the study until any of the competing events or censoring.
Five mutually exclusive categories were created: (i) paid employment, ie, all participants who worked until the country-specific retirement age or were still working at the end of the follow-up period; (ii) disability benefit, ie, participants who were permanently sick or disabled; (iii) unemployment, ie, those who became unemployed from their last job; (iv) early retirement, ie, those who were retired, but had not reached the country-specific retirement age yet; and (v) economically inactive, ie, those who stopped working for other reasons than disability, unemployment, or early retirement, for example because of being a homemaker. Additionally, it was registered whether and when a worker died during follow-up. This was added as a competing event to the analyses. When a participant reported multiple events, only the first event in time was considered. In case a participant reported multiple events at the same time-point, the following hierarchy was used based on the empirical evaluation of time to event in the available dataset (i) disability benefit, (ii) unemployment, (iii) economically inactive, (iv) early retirement.
Health
Self-rated health was measured at baseline using the question “Would you say your health is …”, with answers ranging from excellent (1) to poor (5). Poor health was defined as less-than-good health, collating the answers moderate and poor. This frequently used question has been shown to be a good indicator of general health (27).
Individual characteristics
At baseline, information on sex, month and year of birth, educational level, marital status, and country was collected. The highest level of education was coded according to the 1997 International Standard Classification of Education (ISCED-97) and categorized into low (pre-primary, primary, and lower secondary education), intermediate (upper secondary education), and high (post-secondary education). Using marital status, participants were categorized into those who were living with a spouse or partner in the same household and those living alone. Three European welfare state regimes were identified (11); Bismarckian (Netherlands, France, Germany, Belgium, Austria, Switzerland); Scandinavian (Sweden, Denmark), and Southern European (Italy, Spain, Greece).
Statistical analysis
Descriptive statistics were used to describe the study population: frequencies for dichotomous and categorical variables and means with standard deviations for continuous variables. Furthermore, cumulative incidence curves of four specific exit routes out of paid employment were created based on Kaplan-Meier curves for workers with poor health and estimates for workers with poor health from the F&G competing risk analysis. In the latter, self-rated health was the independent variable and the type of route out of paid employment was the dependent variable.
Next, the effect of poor self-rated health on labor force exit via various routes during follow-up was analyzed using different competing risk regression models: a Cox model with censoring by competing events (cause-specific Cox model) and a model based on F&G’s proportional subdistribution hazards approach (10). The models differ from each other in the way they handle competing events and by the type of hazard function they model on. Therefore, both models have different interpretations (28).
In the cause-specific Cox approach, workers from each specific exit route were compared with all other workers (ie, those who stayed in paid employment, but also those who left via an exit route other than the route of interest). Workers were censored at the end of their follow-up or when they reached the official retirement age, but also when they experienced a competing event (29). Censoring the time to the event of interest for workers with a competing event assumes that those with a competing event stay at the same risk for the event of interest as those who remain in the risk set (30, 31).
In the F&G approach, workers within each specific exit route were compared with all workers (10). However, contrary to the cause-specific Cox approach, those who experienced a competing event were not censored but kept in the risk population (30). Therefore, the likelihood of the occurrence of the event was estimated taking into account the likelihood that another event may precede the occurrence of the event of interest. Workers were censored at the end of their follow-up or when they reached the country-specific retirement age.
The cause-specific Cox model is based on the cause-specific hazard function, whereas the F&G approach is based on the subdistribution hazard function. The former denotes the instantaneous rate of occurrence of the event of interest in subjects who have not yet experienced any of the different events (ie, when interested in disability benefit, the hazard denotes the instantaneous rate of disability benefit in subjects who are still at work). The latter denotes the instantaneous risk of the event of interest in subjects who have not yet experienced the event of interest (ie, when interested in disability benefit, the hazard denotes the instantaneous rate of disability benefit in subjects who are still at work or who previously left the workforce via an competing route). The F&G approach makes a direct link to the incidence (ie, absolute risk) of an event (28).
Each separate exit route was successively the event of interest, hence the other exit routes were then seen as competing events (eg, when disability benefit was the event of interest, unemployment, early retirement and becoming economically inactive were the competing events). Death was also considered as a competing event. However, as death was not considered a primary outcome in our study, the relation between poor health and death is not presented. We adjusted the associations between poor self-rated health and labor force exit for age, sex, education, marital status and welfare state regime.
Hazard ratios (HR) for the cause-specific Cox analyses and subdistribution hazard ratios (SHR) for the F&G analyses, both with corresponding 95% confidence intervals (95% CI), were calculated as measure of association. A value >1 indicates an increased likelihood of labor force exit. However, as described previously, one should keep in mind that although the SHR and the HR both measure the association between independent variables and labor force exit, their underlying assumptions are different (32) (see also the Discussion section of this paper). The 6-year probabilities of disability, unemployment, early retirement, and becoming economically inactive were calculated for a group of workers who are considered at highest risk of labor force exit, ie, low educated male workers aged 60–64 years who were not cohabiting, with good or poor health, in the three European welfare state regimes. The probabilities were also calculated for the group with opposite characteristics, ie, highly educated female workers aged 50–54 years who were cohabiting (results in appendix, www.sjweh.fi/index.php?page=data-repository).
All analyses were conducted using STATA 13.1 (Stata Corp, College Station, TX, USA). The cause-specific Cox analysis was performed using “stcompadj” (33). For F&G, the command “stcrreg” was used (34).
Results
The study population consisted of 5273 employees (Figure 1) with a median time of 55 months until any event or censoring. Table 1 shows the population characteristics of the total study population and the characteristics of the subjects per exit route. A small majority of the study population was male, and the mean age at enrolment was 55.3 (SD 3.6) years. In total, 36% had a high educational level, almost 20% were not married or cohabitating, and 11% reported a less-than-good self-rated health. In total, 35% of the study population left the workforce during the 6-year follow-up period because of early retirement (20%), unemployment (6%), becoming economically inactive (5%), or disability benefit (3%). During follow-up, 63 participants died (1%). The most common pathway in the group of economic inactivity was exit due to becoming a homemaker (57%).
Table 1
| Total population (N=5273) | Worker c (N=3394) | Disability benefit (N=179) | Unemployment (N=314) | Early retirement (N=1037) | Economically inactive (N=286) | |||||||
|---|---|---|---|---|---|---|---|---|---|---|---|---|
|
|
|
|
|
|
|
|||||||
| N | % | N | % | N | % | N | % | N | % | N | % | |
| Sex, female | 2309 | 43.8 | 1496 | 44.1 | 70 | 39.1 | 143 | 45.5 | 413 | 39.8 | 169 | 59.1 |
| Age, years | ||||||||||||
| 50–54 | 2408 | 45.7 | 1848 | 54.5 | 77 | 43.0 | 160 | 51.0 | 200 | 19.3 | 93 | 32.5 |
| 55–59 | 2124 | 40.3 | 1142 | 33.7 | 86 | 48.0 | 130 | 41.4 | 603 | 58.2 | 138 | 48.3 |
| 60–64 | 741 | 14.1 | 404 | 11.9 | 16 | 8.9 | 24 | 7.6 | 234 | 22.6 | 55 | 19.2 |
| Educational level | ||||||||||||
| High | 1912 | 36.3 | 1,315 | 38.7 | 48 | 26.8 | 81 | 25.8 | 351 | 33.9 | 95 | 33.2 |
| Moderate | 1716 | 32.5 | 1069 | 31.5 | 68 | 38.0 | 115 | 36.6 | 355 | 34.2 | 89 | 31.1 |
| Low | 1645 | 31.2 | 1010 | 29.8 | 63 | 35.2 | 118 | 37.6 | 331 | 31.9 | 102 | 35.7 |
| Unmarried/not cohabitating | 985 | 18.7 | 667 | 19.7 | 38 | 21.2 | 63 | 20.1 | 165 | 15.9 | 38 | 13.3 |
| Less than good self-rated health | 587 | 11.1 | 317 | 9.3 | 52 | 29.1 | 46 | 14.7 | 117 | 11.3 | 39 | 13.6 |
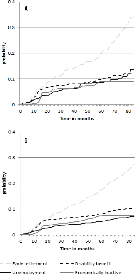
In table 2, the distribution of employment status at follow-up is described per European welfare state regime. In all European welfare state regimes, early retirement was the main exit route (22.9% in countries with a Bismarckian welfare state regime, 16.9% in countries with a Scandinavian welfare state regime, and 15.4% in Southern European welfare state regimes). The observed percentage of workers who remained in paid employment during the whole follow-up was lowest in Bismarckian (59.4%) compared with Scandinavian (68.6%) and Southern European (71%) regimes. Figure 2 shows the cumulative incidence curves of the four exit routes out of paid employment based on the naïve Kaplan-Meier curves for workers with poor health (Figure 2a) and estimates from the unadjusted F&G competing risk analysis for workers with poor health (Figure 2b). The probabilities based on the Kaplan-Meier curves are typically higher than when estimated with the competing risks approach. The largest differences between both methods were observed for exit through early retirement (34.1% according to the Kaplan-Meier approach versus 27.6% according to the competing risk analysis at the 84th month of follow-up) and unemployment (13.8% versus 7.2%). The first columns of table 3 on the total study population show that workers with a less-than-good self-rated health had a higher risk of disability benefit in both models [cause-specific Cox: HR 3.36 (95% CI 2.41–4.69) and F&G: SHR 3.22 (95% CI 2.30–4.51)]. Thus, poor health increased the cause-specific hazard of disability benefit by 236% and relative incidence by 222%. Poor health was also statistically significantly associated with unemployment in the cause-specific Cox (HR 1.43) but not in the F&G (SHR 1.32) model. An elevated but statistically non-significant relation was found in both models for the influence of poor health on early retirement and becoming economically inactive (table 3). Table 3 also shows the influence of poor health on displacement from paid employment within the three welfare state regimes. Highest risks for disability benefit were found in Southern European welfare state regimes (HR 7.34, 95% CI 2.84–18.98, SHR 7.56, 95% CI 3.00–19.06). In Bismarckian welfare state regimes, the highest risks of unemployment were found (HR 1.71, 95% CI 1.16–2.51, SHR 1.60, 95% CI 1.08–2.37). In none of the regimes, statistically significant relations were found for exit through early retirement and becoming economically inactive. Table 4 describes the absolute 6-year probabilities of labor force exit for workers (60–64 years, male, low educational level, not cohabiting) from three European welfare state regimes with good or poor self-rated health. The appendix (www.sjweh.fi/index.php?page=data-repository) presents the results of workers with opposite characteristics.
Table 2
Distribution of employment status at follow-up per European welfare state regime.
Figure 2
Cumulative incidence curves representing probabilities of labor-force exit through four specific pathways based on (A) naïve Kaplan-Meier curves for workers with poor health and (B) estimates from the unadjusted Fine & Gray competing risk analysis for workers with poor health.

Table 3
Influence of poor self-rated health assessed at baseline on the likelihood of exit from paid employment during a 6-year follow-up among older employees in Europe. BOLD signifies P<0.05 [HR=hazard ratio; SHR=subdistribution hazard ratio; 95% CI=95% confidence interval.]
| Total population a (N=5273) | Bismarckian regimes b (N=2746) | Scandinavian regimes b (N=1371) | Southern European regimes b (N=1156) | |||||||||
|---|---|---|---|---|---|---|---|---|---|---|---|---|
|
|
|
|
|
|||||||||
| HR | SHR | 95% CI | HR | SHR | 95% CI | HR | SHR | 95% CI | HR | SHR | 95% CI | |
| Cause-specific Cox HR c, d, e | ||||||||||||
| Disability benefit | 3.36 | 2.41–4.69 | 2.89 | 1.93–4.33 | 3.69 | 1.70–8.02 | 7.34 | 2.84–18.98 | ||||
| Unemployment | 1.43 | 1.04–1.97 | 1.71 | 1.16–2.51 | 1.28 | 0.56–2.93 | 0.72 | 0.30–1.70 | ||||
| Early retirement | 1.07 | 0.88–1.30 | 1.11 | 0.87–1.41 | 1.20 | 0.70–2.07 | 0.91 | 0.59–1.43 | ||||
| Economically inactive | 1.23 | 0.87–1.73 | 1.10 | 0.69–1.75 | 0.91 | 0.22–3.77 | 1.47 | 0.83–2.61 | ||||
| Fine & Gray SHR c, d, f | ||||||||||||
| Disability benefit | 3.22 | 2.30–4.51 | 2.74 | 1.82–4.13 | 3.35 | 1.61–7.81 | 7.56 | 3.00–19.06 | ||||
| Unemployment | 1.32 | 0.96–1.83 | 1.60 | 1.08–2.37 | 1.15 | 0.51–2.60 | 0.67 | 0.29–1.57 | ||||
| Early retirement | 0.94 | 0.77–1.16 | 0.95 | 0.74–1.21 | 1.10 | 0.63–1.93 | 0.87 | 0.55–1.38 | ||||
| Economically inactive | 1.13 | 0.81–1.58 | 0.97 | 0.62–1.53 | 0.83 | 0.19–3.52 | 1.49 | 0.85–2.64 | ||||
Table 4
Predicted 6-year probability (%) of exit from paid employment through different routes per European welfare state regime for good and poor health among 60–64-year-old low educated males who live alone, calculated using the cause-specific Cox and Fine & Gray methods.
The cause-specific and F&G models produced very similar results. Overall, workers with poor health had a higher probability to leave the workforce via disability benefit, unemployment, or due to becoming economically inactive than workers with good health. The probability to leave the workforce via early retirement was somewhat higher among workers with good health than among workers with poor health in all European welfare state regimes. In Bismarckian and Scandinavian welfare state regimes, workers with poor health had an approximate probability of 10–11% to leave the workforce via disability benefit, whereas this probability was lower for workers from Southern European regimes (4%). Workers with poor health from Scandinavian and Southern European regimes had a lower probability of early retirement than workers from Bismarckian regimes (29%, 35–37%, and 45% respectively). In Scandinavian regimes, the probability of becoming economically inactive among workers with poor health was about half the probability in Bismarckian or Southern European regimes. However, workers from Southern European regimes had a somewhat lower probability of becoming unemployed when in poor health than workers from Bismarckian or Scandinavian regimes.
Discussion
Older workers in Europe with a poor self-rated health are at risk of exit from paid employment, most notably through disability benefit followed by unemployment. The likelihood of labor force exit among workers with poor health varied across welfare state regimes. The absolute probability of early retirement and becoming economically inactive was lowest in Scandinavian welfare state regimes, whereas the absolute probability of disability benefit and unemployment was lowest in Southern European welfare state regimes. The cause-specific Cox and F&G approaches produced similar absolute probabilities. An appealing feature of the latter model is that the estimated risk ratios directly translate to absolute probabilities as the model is based on the cumulative incidence function.
Until now, various studies have looked at the influence of poor health on exit from work. However, our study is the first to present both relative and absolute risks of work displacement via specific exit routes among workers with poor health. Some studies have graphically shown the probability of labor force exit (35–39). However, these results were based on Kaplan-Meier curves which do not take competing events into account and, as also shown in the current study, will typically overestimate the absolute risk of different exit routes (32). In the presence of competing risk situations – such as exit routes from paid employment – conventional survival techniques will be biased as they imply that workers who are censored at a specific moment in time are representative of the population still at risk (30, 32, 40). Hence, those who are censored should not be subjects with a systematically higher or lower likelihood on the event of interest (ie, workers with a competing event). Therefore, in the presence of competing events, the probability for a specific exit route should not be directly calculated from a Kaplan-Meier curve since this typically overestimates the probability of exit from paid employment.
Influence of poor health on exit from paid employment
The likelihood of labor force exit through disability benefit and unemployment was higher for workers with poor health. The relation between poor health and disability benefit is not surprising since a declined health is one of the essential requirements for receiving such a benefit. Furthermore, our results corroborate findings from previous research (1, 7–9). Various studies have reported a relation between poor health and the exit route of unemployment (eg, 41, 42). It is of interest to note that in our study we observed a statistically significant increased risk of poor health on unemployment among subjects who were still event-free (HR 1.43) but not among those who were still event-free or had left the workforce via another route (SHR 1.32). In an earlier competing risk analysis using data from the Dutch Permanent Survey on Living Conditions (POLS), a SHR of 1.76 for poor health and unemployment was reported (7). The current study has a follow-up period which encompasses the economic crisis of 2008 and onwards, and it may be hypothesized that poor health is a less important risk factor for the incidence of unemployment in countries in time periods with high unemployment (43).
The current study did not establish a significant relation between poor health and the exit routes early retirement and becoming economically inactive. Moreover, the absolute risk of early retirement was slightly but consistently higher in the group with good health compared to workers with poor health. The literature is not conclusive about the relation between poor health and early retirement. In van Rijn et al’s meta-analysis (1), a statistically significant increased risk of early retirement was reported (pooled RR 1.27), while recent studies using a competing risks approach did not find a significant relation (HR 0.91–1.11, SHR 0.87–1.10) (7, 8). A possible explanation for these mixed findings is that in this exit route other factors, such as financial arrangements, social situations, and welfare state regime, play a more prominent role (5, 44, 45). Furthermore, there is some qualitative evidence that both poor and good health can play a role in the transition to early retirement. For example, people who want to enjoy life while still vital may choose to retire when their health allows them to enjoy retirement (46).
Methodological approaches
There are several methods to calculate absolute risks, taking into account competing events. In the current study, the F&G and cause-specific Cox methods were used. They gave nearly the same results, but an advantage of the F&G approach is that the covariate effects (expressed in SHR) translate directly to absolute risks. Furthermore, the risk ratio (SHR) from the F&G model can be interpreted as the amount of excess risk for a worker with poor health compared to one with good health. For example, the SHR of 1.32 for unemployment in this study, implies that workers with poor health have a 1.32 times higher instantaneous risk of becoming unemployed than those with good health. The risk ratio from the cause-specific Cox model (HR) does not translate verbatim to valid absolute risks, since in order to calculate these risks the cause-specific hazards of the competing events are also needed (32). However, for etiological questions, the cause-specific Cox model may be more appropriate, since the cause-specific hazard function represents the instantaneous rate of the event of interest among those still event free (28).
In this study, the HR from a Cox model and the SHR from the F&G approach were compared. As all models have their own way of handling competing events, they yield different effect estimates. The differences between the estimates from the cause-specific Cox (workers with competing events were censored) and F&G (workers with competing events were kept in the risk population) models can be explained by the fact that poor health was a risk factor for the most important competing events (31). When the independent variable (poor health) would be associated with the event of interest – but not competing events – the SHR would be very similar to the HR from the cause-specific Cox model. When the independent variable would be associated with the event of interest in a way opposite to the competing events, the SHR would be higher than the HR from the Cox analysis. Furthermore, both measures are on a different scale: cause-specific hazard function and cumulative incidence function (28). The cause-specific model provides information about etiological relation, whereas the F&G model provides effect estimates which are directly transferable to absolute risks (28).
Labor force exit in different European welfare state regimes
Differences in labor force exit probabilities were found between European welfare state regimes. In the oldest age group, exit through disability benefits and unemployment was lowest in Southern European welfare state regimes. These exit routes were strongly related to poor health. Since labor force participation among 50–54-year-old subjects at enrollment in the SHARE study was lowest in countries with a Southern European welfare state regime, some differences in health selection out of the workforce may have already occurred before the age of 50. Exit through early retirement and becoming economically inactive was lowest in Scandinavian welfare state regimes. This is in concordance with a comparative study in Europe indicating that the Scandinavian welfare regime facilitates an inclusive labor force to a larger degree than other welfare states (11). As little is known about how type of welfare state regime plays a role in the relation between health and labor force exit, the current analysis on differences in welfare state regimes presents a first exploratory step. For future research, it would be interesting to investigate how changes in specific regime characteristics, such as eligibility criteria for disability benefit (47) or introduction of nationwide services for workers with chronic disease (48), would influence the ability of workers with health problems to remain employed.
Strengths and limitations
The strengths of our study are its longitudinal character and the use of a large international dataset. Moreover, to the knowledge of the authors, this is one of the first studies that shows – through the comparison of two different analytical methods – that a competing risk analysis is required to estimate the overall relation between poor health and exit from paid employment. Furthermore, absolute risks for labor force exit are presented, which has rarely been done in earlier studies. Adding this information is crucial for decision-making in a competing risk setting. It will guide appropriate decision-making much better than measures of association, such as relative ratios. However, some considerations have to be addressed. First, retirement and early retirement were defined by the country-specific retirement age at the time of the start of SHARE (ie, 2004). Nowadays, the official retirement age is rising in most Western countries. However, since this is a gradual process, we did not expect major influence on the outcomes of the study. Second, our analyses did not take into account re-entering into paid employment after leaving the labor force. Yet, the percentage of people re-entering the work force is relatively low, ranging from roughly 30% for unemployed to 1% for early retirement. These numbers are similar to what has previously been reported in other studies (8, 49).
Concluding remarks
Compared with workers with good health, workers with poor health have a higher risk of disability benefit and unemployment, a slightly increased risk of becoming economically inactive, but no elevated risk of early retirement. The absolute risks of labor force exit differed per European welfare state regime. The direct estimation of absolute risks of leaving the labor force in the presence of competing exit routes is an appealing feature of the F&G model.




