It is well known that many drivers experience driver fatigue, a condition that causes crashes and results in severe injuries and fatalities (1-3). Increased risks have been reported when driving at night or in the early morning hours (2, 4, 5) for young drivers (6, 7) and shift workers driving home after a night shift (8, 9). Driving when sleepy impairs driving performance and causes deteriorated lateral and longitudinal control of the vehicle (10-13). With increased levels of sleepiness, these deteriorations become increasingly severe and will eventually lead to lane departures (14). However, even in the case of known risk groups, there are large differences between individuals (13, 15).
One individual factor may be status as a professional driver. It is generally believed that professional drivers can manage quite severe fatigue before routine driving performance is affected (16). There are also results indicating that professional drivers can adapt to prolonged night shifts and may be able to learn to drive without decreased performance under high levels of sleepiness (17) Susceptibility to acute sleep loss has been found to be systematic and trait-like, with some people being more resistant to the effects of sleep loss than others (18) If this is true, individuals choosing to work in industries requiring shift work or long work hours may be less susceptible to the effects of sleep loss, whereas those who are more vulnerable to sleep loss choose to leave the industry (19). Still, both truck and bus drivers show high risks of sleepiness-related crashes (20-22), but this may mainly be due to extreme conditions with combinations of sleepiness inducing factors such as long work hours, chronic partial sleep deprivation, shift work, and sleep disorders (23, 24). In a laboratory study, professional and non-professional drivers were kept awake for 24 hours, showing the same susceptibility to sleep deprivation for both groups (19). Very little research has been conducted to compare professionals and non- professionals when controlling for differences in hours being awake and time driven looking at the consequence of sleepiness and performance.
The overall aim of this study was to use a driving simulator to investigate whether professional drivers are more resistant to sleep deprivation than non-professional drivers, but also to see if the former perform better under high level of sleepiness. The differences in the development of sleepiness (self-reported, physiological, and behavioral) during driving were investigated among young professional and non-professional drivers. This includes differences in performance (speed and line crossings) between the groups on the same level of self-reported sleepiness. The two groups were prepared in the same way 72 hours before arrival, kept awake for the same number of hours, and experienced the same time driving during both the day and night.
Method
Participants
In total 30 participants (15 professional and 15 nonprofessional drivers) were randomly selected from the Swedish register of vehicle owners. In order to avoid confounding with known factors sensitive to sleepiness the following inclusion criteria were used: age (young drivers 19-25 years old), gender (males), not working only night shifts, chronotype (preferable self-reported evening types), body mass index <30, no hearing aid, no sleep disorders, no extremes in terms of self-reported personalities (extrovert or introvert), self-reported normal sensitivity to stressful situations. Professional drivers were classified as those driving a heavy vehicle as a profession. Taxi drivers were excluded. Due to practical problems, 4 professional drivers were excluded, leaving a total of 11 professional drivers and 15 non-professional drivers for analysis. The reason for exclusion was that one moved, one divorced and two did not manage to come all six visits due to working in another city.
The drivers answered a background questionnaire describing their health and sleepiness status, where answers were given on a 5-graded scale from 1=never to 5=always. They also rated sleepiness on the Epworth Sleepiness Scale (ESS) (25). An overall description of the drivers is found in table 1. The only significant difference was seen for “the feeling of not being rested when waking up” during the past six months, with more problems among non-professionals than professionals. In both groups, the drivers had experience in sleepiness- related incidents (2/15 among non-professionals and 5/11 for professionals). The waking-up habits during working days for the professionals showed that 3/11 wake up before 06:30 hours; 6/11 between 06:30-07:30 hours and 2/11 wake up at 07:30 hours or later. Corresponding answers from non-professionals showed that 0/15 wake up before 06:30 hours, 10/15 wake up between 06:30-07:30 hours and 5/15 wake up at 07:30 hours or later. The going-to-bed habits for professionals show that 4/11 go to bed between 21:00-22:00 hours, 5/11 between 22:00-22:59 hours and 2/11 at 23:00 hours or later. Corresponding answer from non-professionals show that 2/15 go to bed between 21:00-22:00 hours, 9/15 between 22:00-22:59 hours and 4/15 go to bed at 23:00 hours or later. In summary, no major difference in distribution of waking up and going to bed habits is possible to see.
Table 1
Drivers’ characteristics. Significant values in bold. [SD=standard deviation; ESS=Epworth Sleepiness Scale.]
The participants visited the laboratory at the Swedish National Road and Transport Research Institute (VTI) on six separate occasions: three times during daytime and three times during night-time. On the days of the experiments, the participants arrived approximately 2 hours before the start of the experiment. For the day session and before the night session, participants arranged for transportation to/from the laboratory by themselves. After the night session, they were sent home in a taxi. The participants received in total €1200 for participating in the experiments (€150 after each visit and an extra €300 when they had fulfilled all experimental days). The regional ethics committee in Linköping approved the study (Dnr 2014/309-31). The participants signed an informed consent form at the first visit prior to the first drive.
Platform
The study took place in an advanced moving-base driving simulator (VTI Sim III; www.vti.se/en/research-area/driving-simulation1/). The simulator has three LCD displays for rear mirrors and six projectors for visualization of the frontal view with a horizontal field of view of 120 degrees. The simulator has a passenger car cabin of a Saab 9-3 and, for this experiment, a manual gearbox was used. The cabin is positioned on a motion platform offering both linear and tilting motion, providing four degrees of freedom.
Design
The study had a within-subject design. Daytime and night-time driving was used to manipulate sleepiness. Two drivers participated in parallel each day and each night. The day sessions were scheduled between 12:3021:15 hours and the night sessions between 22:00-06:15 hours. On each visit, (26) a participant drove three times in succession, once in each of the following scenarios: (i) rural road with a speed limit of 80 km/h (low demand) - daylight: (ii) rural road with a speed limit of 80 km/h (low demand) - in darkness; and (iii) suburban road with a speed limit of 60 km/h (high demand) in daylight. The different scenarios were used to provide a variation between environments with expected demand on high and low cognitive load. A random selection of orders was used for balancing, but to guarantee the intra comparison analysis, the same order for a given participant was kept for all six visits. For the comparison between professional and non-professional drivers in this paper, the rural road scenarios (ii and ii) were used (figure 1) and only the session with daylight condition daytime and darkness during night time. Data from the first visit daytime and first visit night time were excluded. Data from the suburban scenario and the other conditions will be reported elsewhere. This means that data included are a dataset with well-trained participants, driving under as realistic conditions as possible consisting of, in total, 1 hour driving daytime and 1 hour driving night time.
Procedure
The participants were instructed to avoid alcohol for 72 hours before arrival and they were not allowed to smoke or use caffeine for 3 hours before driving. In addition, they were required to sleep at least 7 hours during the three nights before arrival, not to go to bed later then 24:00 hours, and not to wake up later than 09:00 hours CET. Drivers prone to motion sickness were excluded during recruitment.
On the day of arrival at the laboratory, instructions were given (more detailed the first time), participants signed an informed consent form (only at the first visit), and a general questionnaire was completed (on activities and mood before the drive). Then electrodes for physiological measurements were attached and the impedance was checked and adjusted if needed. The participants then performed a 10-minute psychomotor vigilance task (PVT) test (27). The PVT was carried out in a silent room, before the first drive and after each drive. The participants were offered fruits, rice cakes, water, and red tea or decaffeinated coffee whenever they wanted. In addition, they were served dinner during the day-time condition and sandwiches during the night-time condition. Each drive lasted for 30 minutes, with 1 hour and 30 minutes in between for changing driver, eating, going to the toilet etc. They were also allowed to watch television or read. There was always a test leader close to the participants.
Data preparation and statistical analysis
Self-reported sleepiness (Karolinska Sleepiness Scale, KSS) was reported as an average once every fifth minute (28). Blink duration, derived from a vertical electrooculo- gram (EOG) and recorded with a multi-channel amplifier (g.HIamp, g.tec Medical Engineering GmbH, Austria), was used a physiological measure of sleepiness. The sampling frequency for the EOG was 256 Hz. The EOG was DC-recorded using disposable electrodes, and blink durations were extracted based on the midslope (50-50) of the EOG waveform typical of an eye blink (29). Indicators for driving performance were defined as number of line crossings and average speed. Only line crossings where half the vehicle was outside the lane were included.
A mixed model ANOVA was used to analyze differences in sleepiness and performance between professional and non-professional drivers. The model included factors for time of day (day/night), time on task (1-6 corresponding to 5-10; 10-15; 15-20; 20-25; and 25-30 minutes), and group (professional versus non-professional). Participant was included as a random factor.
The PVT test was analyzed in terms of mean reaction times and the percentage of minor lapses with response time >500 milliseconds. Increases in these indicators are associated with increased levels of sleepiness (27). For the PVT results, a mixed model ANOVA was used to analyze factors for time of day, KSS group (1-5; 6-7; 8-9) and their interactions. The distribution of KSS is seen in table 2. Participant was included as a random factor.
Table 2
Karolinska Sleepiness Scale (KSS) distribution for groups 1–5; 6–7 and 8–9 separate for non-professionals and professionals.
| Non-professional | Professional | Total | |
|---|---|---|---|
| KSS group | |||
| KSS 1–5 | 171 | 197 | 368 |
| KSS 6-7 | 164 | 104 | 268 |
| KSS 8-9 | 179 | 85 | 264 |
| Total | 514 | 386 | 900 |
Differences between professional and non-professional drivers’ line crossings and blink durations at high levels of KSS (KSS 8-9) were further analyzed. Blink durations divided into two groups according to Fors et al (30) (<150 ms; >150 ms). The number of line crossings were also divided into two groups: one for those below average (<0.45) and one for those above average (>0.45). Kruskal Wallis test was used to test significant difference between background and status between the two groups of drivers.
Data preparation was performed in Matlab 9.0 (Math- works Inc, Natick, MA, USA) and statistical analyses were conducted with IBM SPSS 22.0 (IBM Corp, Armonk, NY, USA). All analyses used a time window of five minutes and all significance levels were set to 0.05.
Results
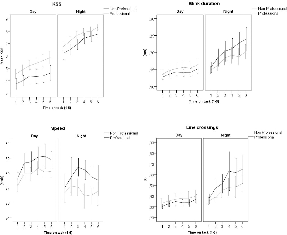
Higher KSS values, longer blink durations, an increased number of line crossings, longer reaction times and more PVT lapses were found during night driving, and with increased time on task. Professional drivers reported significantly lower levels of self-reported sleepiness (KSS), see table 3 and figure 2. Blink durations showed no significant differences between professional and non-professional drivers, but a significant interaction with time of day, with longer blink durations for professionals during nighttime. Just as for blink duration, professionals had significantly more line crossings during nighttime, compared to non-professional drivers. The professionals drove faster than non-professional drivers in general, and both groups reduced their speed during nighttime.
Table 3
Mixed model ANOVA. Time of day (df = 1) day/night; time on task (df = 5) 5–10; 10–15; 15–20; 20–25; 25–30 minutes; group (df=1) professional versus non-professional. Significant values in bold. [KSS=Karolinska Sleepiness Scale; SD=standard deviation.]
At high levels of KSS (8-9), the professional drivers had longer blink durations than non-professional drivers, especially at nighttime (tauB=3.5 P<0.05). The professional drivers also had more line crossings (tauB=3.7 P<0.05), see figure 3.
From a main effect perspective, the professionals did not perform differently on the PVT test than the nonprofessional drivers, however, there was a significant interaction between time of day and driver group showing longer reaction times and more lapses during night time, as well as for night time in combination with high levels of KSS, see figure 4 and table 4.
Table 4
Mixed model ANOVA. Time of day (df=1); groups (df=1) and Karolinska Sleepiness Scale (KSS) categories (1–5; 6–7 and 8–9) vs PVT values. F and P-values. Significant values in bold.
Discussion
As expected from previous studies (12, 31-33), higher KSS values, longer blink durations, increased number of line crossings, longer reaction times, and more PVT lapses were found during night driving and with increased time on task. With respect to group differences, professional drivers reported significantly lower levels of self-reported sleepiness (KSS) both day and night, had longer blink durations during night-time, more line crossings, and longer reaction times and more lapses on the PVT test during night-time. The professionals drove faster than the non-professional drivers in general, and both groups reduced their speed during night-time. Looking at how the groups performed under high KSS levels, it was found that the professionals had longer blink durations and more line crossings than the non-professional drivers.
Figure 2
Mean and 95% confidence intervals every five minutes during day and night driving for Karolinska Sleepiness Scale (KSS), blink duration, line crossings and speed for professionals and non-professionals. Factors for time on task (1-6); time of day (1=daytime; 2=night-time) and group (professional versus non-professional).

Figure 3
Means for blink duration, speed, and line crossings for professional versus non-professional drivers presented by Karolinska Sleepiness Sscale (KSS) groups (1-5; 6-7; 8-9) and time of day. Error bars represents 95% confidence interval.

Figure 4
Mean for PVT Reaction time and lapses. Professional versus non-professional drivers by KSS groups (1-5; 6-7; 8-9) and time of day (1=daytime; 2=night-time). Error bars represents 95% confidence intervals.

The results give us no reason to believe that professional drivers are more resistant to sleepiness than non-professional drivers in terms of physiology (blink duration) and driving performance (line crossings), but rather in terms of self-reported sleepiness. The physiological and behavioral results are in line with earlier studies (19). This is supported by the comparison of the two groups at the specified high levels of KSS.
The interpretation of the results is complicated by the lower reported sleepiness among the professional drivers. One explanation of this apparent paradox may be that the mechanisms of perception of sleepiness differs between the groups. If physiology and behavior are seen as objective indicators of sleepiness, it may be that the professionals are not fully aware of their sleepiness, or that non-professionals have an over-sensitive awareness. No prior data on these issues are available, but one may hypothesize that accumulated experience of sleepy driving could make the professionals conscious of their ability to drive despite being sleepy. In the end, this might contribute to a misconception ending up in the fact that they consider their sleepiness to be lower than suggested by other measures. The reverse may be true about non-professionals, in the sense that lack of exposure to severe sleepiness may result in the driver exaggerating the experience. For lack of fully relevant evidence, one may consider, in another study, the increase in KSS sleepiness with repeated rumble strip hits during an early morning simulator drive (34). The drivers hit the first rumble strip at a level of 8.1 KSS, and the next one at 8.5, followed by the next one at 8.8. Thus, it seems that the drivers, through effort, could extend their ability to resist sleepiness beyond the sleepiness reported before the first rumble strip hit.
The results discussed here do not seem related to any group differences in problems of falling asleep, sleep quality, snoring, persistent feeling of fatigue, difficulties to stay awake while driving, ESS, body mass index or other factors. The only difference between the two groups was seen for “not rested when waking up”. The reason for this is unknown, but one may speculate that non-professional drivers are less experienced at sleepy driving and may see this as a stressful situation needing extra effort. We have no evidence, however, to support this hypothesis.
Another explanation might be related to a difference in work hours or sleep history in the days preceding participation. However, the drivers were instructed about how to be prepared 72 hours before arrival. This was checked with actigraphy and questionnaires and no major deviations between included drivers were seen. of the 30 participants, 4 were excluded since they could not be prepared as required, due to different reasons.
The study suffers from several limitations. One is related to simulator validity and the fact that a line crossing is not as risky in a simulator as it is in real life (35, 36). However, this limitation affects both groups to the same extent. Another limitation is that only young drivers are included in the study. The effects of experience, and also selection, are likely to increase with time of exposure. Further research is needed to investigate differences between professionals and non-professionals in additional age groups. In this study, we used a rather young group of drivers and, even though they were professionals, they have in average only been driving for five years.
Concluding remarks
The present study showed that professional drivers reported significantly lower sleepiness while driving a simulator than non-professional drivers. However, they also showed longer eye blinks and more line crossings, which both are indicators of sleepiness, and they drove faster. The reason for the discrepancy in the relation between sleepiness indicators and group could be due to more experience of sleepiness while driving among the professional drivers.




