Adequate performance of activities of daily living (ADL) is essential for independent living (1) and difficulty in performing ADL and instrumental ADL (IADL) tasks is commonly used in assessing old age disability (1–3). Physical frailties are known predictors of disability among older people (4, 5). The occupational class in midlife also plays a vital role in the onset of later life disability, with unskilled blue-collar workers being the high-risk group compared to white-collar workers (6). However, work-related biomechanical and psychosocial exposures are undeniably related to work disability among all types of occupations (7), exposures such as monotonous work, whole-body vibration, heavy physical work, prolonged standing, and low level of support being the substantially associated ones.
High occupational physical loading activity in midlife could likewise result in limitations in physical functioning in later life (5, 8–11) which could, eventually progress to disability. The work-related psychosocial exposure during midlife has persistent effects into old age and substantially predicts disability pension in later life (12). There is variation in the type of occupations of women and men, so the extent and nature of work-related exposures and effects may vary by gender (13). The joint effect of these exposures is equally crucial to detect the probable health impact as they are co-occurring exposures of midlife. A study of the GAZEL cohort found an additive effect of the joint biomechanical and psychosocial occupational exposures on post-retirement disability (14) through the interaction effect of the exposures. The same study reported gender-specific variations of the joint effects of the exposures.
The longitudinal evidence on individual associations of biomechanical and psychosocial occupational hazards with disabilities in later life, along with the evidence on the prediction of disability by joint biomechanical and psychosocial exposures is scarce. For the additional examination of the rare joint effect along with the separate effect, we aimed to investigate whether work-related biomechanical exposure and job strain (psychosocial exposure) in midlife separately and jointly predict disability in later life in a cohort of Finnish public sector employees followed up for 28 years.
Methods
Participants and design
This study is based on the Finnish Longitudinal Study on Aging Municipal Employees (FLAME), a prospective follow-up study which was conducted by the Finnish Institute of Occupational Health. A baseline survey was conducted in 1981 with the latest follow-up in 2009. The baseline cohort consisted of 6257 of 7344 (85.2% response rate) public sector employees aged 44–58 years and was representative of the largest municipal occupational groups in Finland (15–17). The study population of the present study comprised individuals who replied at baseline and in 2009 on information about disability, gathered by postal questionnaires (N=2932 complete data on ADL and IADL tasks). According to the mortality data (January 1981 to July 2009) obtained from the Finnish National Population Register, 33.2% of the baseline respondents died during the 28-year follow-up period. The ethics committee of the Finnish Institute of Occupational Health, Helsinki, Finland approved the study.
Disability
The assessment of ADL and IADL tasks was done by questionnaires distributed among the participants in 2009. Difficulty in performing ADL and IADL is widely used as a measure of disability among the older people (2, 18–20). Five ADL tasks (eating, going to bed, dressing, bathing, and toileting) and seven IADL tasks (preparing meals, doing laundry, shopping, doing light domestic work, dosing/taking medicine, using the phone, and management of personal finances) partly adapted from Katz ADL (21) were used. The listed tasks were assessed on a scale 0–4, (4=manage without difficulties, 3=manage with little difficulties, 2=manage with lots of difficulties, 1=cannot manage without help from others, and 0=cannot manage even with help of others). In this analysis, responses were dichotomized (supplementary table A, www.sjweh.fi/index.php?page=data-repository). Then the dichotomized responses were summed up to get a continuous score 0–12. Score 0 represented those who could perform all the tasks without any difficulty (classified as non-disabled in this study) and those who had at least some difficulty in performing one or more of the 12 tasks scored 1–12 depending on the number of tasks entailing difficulties (classified as disabled in this study). The higher the score the more severe the disability (3).
Biomechanical exposure
The assessment of work-related biomechanical exposure was done using the self-reported responses to seven questions related to exposures to biomechanical hazards. The seven self-reported items were (i) continuous walking or movement, (ii) standing in one place, (iii) bent or twisted postures, (iv) similar repeated movements, (v) carrying objects by hand, (vi) sudden strenuous efforts and (vii) other poor postures. All the items were answered on a scale 0=not at all, 1=a little, 2=somewhat, 3=often, and 4=quite often, except item (vii) other poor posture which was answered on 0=not at all, 1= a little, 2=somewhat or 3=often. The summary score (Cronbach’s α=0.84) ranging from 0–26 was dichotomized into low (summary score=0–12) and high (summary score=13–26) biomechanical exposure using the median value 12 (22).
Job strain
Job control
Self-reported responses to ten questions related to respondents’ possibilities for control, guidance, and influence on the job were used to assess job control: including (i) receiving guidance on the job, (ii) participating in planning the work, (iii) gaining promotion, (iv) having chances for further training in professional skills, (v) gaining recognition and respect, (vi) influencing the work environment, (vii) having chances to use own abilities and talents, (viii) having the aptitude to learn new things, (ix) communicating and working with co-workers, and (x) seeing the meaning of the work were answered on a scale from 0=not at all, 1=a little, 2=somewhat, or 3=a lot. The summary score (Cronbach’s α=0.86) ranging from 0–30 was dichotomized into low (summary score=0–16) and high (summary score=17–30) job control using the median value 16 (17, 22).
Job demands.
The assessment of job demands was based on the responses of the respondents to eight questions about pressure and demands related to the job. The eight self-reported items were namely: (i) tight time schedule, (ii) hectic pace of work, (iii) taking responsibility, (iv) pressure and interference from supervisor, (v) conflicting demands regarding work tasks and responsibility, (vi) pressure of failure or making mistakes, (vii) isolation or loneliness, and (viii) monotonous work, which were answered on a scale from 0=not at all, 1= a little, 2=somewhat, or 3=a lot. The summary score (Cronbach’s α= 0.77) ranging from 0–24 was dichotomized into low (summary score=0–6) and high (summary score=7–24) job demands using the median value 6 (17, 22).
Job strain.
Job demand–control concept from the Karasek model was used to create job strain levels (23). The dichotomized values of job demands and control were used to construct the four levels of job strain: namely low strain (high control and low demands), passive job (low control and low demands), active job (high control and high demands), and high strain (low control and high demands).
Covariates
The covariates used in this study were occupational class, age, gender, alcohol intake, smoking status, body mass index (BMI; kg/m2), physical activity, major chronic diseases and tenure period were assessed in baseline. Two occupational groups namely white- and blue-collar workers were created being based on 13 job profiles, which were a cluster of 133 different job titles (17). The tenure period used in this study was occupationally active years between the baseline of this study and retirement. Those reporting smoking at least one cigarette per day were classified as current smokers. Information on alcohol intake was classified into 0, ≤2 drinks a month, and ≥1 drink a week being based on seven original categories. Physical activity during leisure time in the previous year was classified in this study as active, moderately active, and inactive. Information on major chronic diseases was related to the diagnosis of chronic diseases of different body systems.
Statistical analysis
The descriptive characteristics of the subjects were first cross tabulated as frequencies and percentages according to biomechanical exposure and job strain, with significance level of P<0.05. An interaction term between gender and exposures was tested and found statistically significant (P<0.001) with respect to disability and therefore the analyses were stratified by gender. Disability was over-dispersed so mixed negative binomial regression with robust variances was used to calculate prevalence proportion ratios (PR) and 95% confidence intervals (95% CI). Negative binomial regression was used in order to avoid errors related to overestimations. The estimates for job strain are presented as pairwise comparisons (Bonferroni adjusted). Tenure period from the baseline survey until retirement was also used in the model as an exposure item. Three models were fitted namely; model I was adjusted for age and tenure period, model II was further adjusted for occupational groups, and model III was further adjusted for smoking status, alcohol intake, physical activity, BMI, and chronic diseases.
The potential interaction between biomechanical exposure and job strain was quantified to check the joint prediction of the exposures. PR and 95% CI of multiplicative interaction and relative excessive PR and 95% CI for additive interactions were estimated using the advanced prefix known as “icp” from Stata, which calculates the estimates of log relative risk to use interaction contrast from the regression settings. The setting uses the concepts of relative excessive risk due to interaction (RERI= RR1, 1 – RR1, 0 – RR0, 1 + 1) to calculate the estimates (24). In the given formula, RR1, 1 signifies the presence of high biomechanical and high job strain (joint exposure), RR1, 0 signifies presence of high biomechanical and absence of high job strain and RR0, 1 signifies absence of high biomechanical and presence of high job strain. Additive interaction is meant to be present if RERI >0 with statistical significance. Two models were fitted, the first model was adjusted for age and tenure period and the second model was further adjusted for occupational groups, BMI, smoking status, chronic diseases, alcohol intake and physical activity. The overall test of the hypothesis and fit of the models are presented in supplement table D (for pairwise comparisons of job strain) and supplement table E (RERI), www.sjweh.fi/index.php?page=data-repository.
In order to account for potential bias of the study due to dropout, we did a sensitivity analysis for which we conducted a regression imputation. Information on disability was imputed for those who were alive and who failed to respond to the disability-related questionnaires (N=1100) and for that we used the most recent responses (follow-up of 1992 or 1997) from these respondents on chronic conditions, sum score of mobility limitation [squatting, bending, maintaining body position for 2 hours, lifting objects >10 kg, precise hand use, running 100 meters, walking 2 km and climbing three floors based on the International Classification of Functioning (ICF)], workability, occupational class and age. We were able to impute the information on disability for 521 out of 1100 missing responses. The analysis for separate and combined ADL and IADL disability were almost identical, therefore only combined results are presented. Likewise, there was no difference in the pattern of associations in the results produced by the sensitivity analyses with imputed data and those derived using the original data. Therefore, the results are presented for the original respondents only. In order to examine the effect of mortality on the results, we made a secondary analysis where we included the deceased respondents in the highest disability group. The results were comparable to the original results (supplementary table F, www.sjweh.fi/index.php?page=data-repository). Proportion/percentage calculation and cross-tabulation were conducted in SPSS version 23.0 (IBM corporation, Armonk, New York, USA) and all the other analyses and plotting were done in STATA 14.0 (StataCorp LP, College Station, Texas 77845, USA).
Results
Tables 1 and 2 present the distribution of baseline characteristics according to biomechanical exposure and job strain among 1850 women and 1082 men, respectively. The overall prevalence of disability was 46.7% (severity score: 1–12), which was 41% and 57% among women and men, respectively. The baseline characteristics according to biomechanical exposure and job strain among non-respondent women (N=1542) and men (N=1630) are presented in supplement tables B and C, www.sjweh.fi/index.php?page=data-repository. PR and 95% CI for biomechanical exposure and job strain (pairwise comparisons) predicting disability are presented separately for all, men and women in table 3 in three different models. In the age-adjusted model, high baseline biomechanical exposure and high job strain was significantly associated (model I) with a unit increase in the severity of disability in later life compared to low-level exposures. The estimates were attenuated when further adjusted for occupational groups (model II). When adjusted further for BMI, alcohol intake, chronic diseases, smoking status, and physical activity during previous years (model III), the estimates were mitigated, but the direction of association remained unchanged. High versus low biomechanical exposure had on average 49% and 37% higher likelihood, respectively for women and men for a unit increase in severity of disability. Likewise, high versus low strain carried significantly higher likelihood for a unit increase in severity of disability among women (PR 1.47, 95% CI 1.08–2.01) and men (PR 2.15, 95% CI 1.42–3.26), respectively.
Table 1a
Baseline characteristics of women according to job strain and work-related biomechanical exposures, Finnish Longitudinal study on Aging Municipal Employees (FLAME), 1981–2009.
Table 1b
Baseline characteristics of women (continued).
Table 2a
Baseline characteristics of men according to job strain and work-related biomechanical exposures, Finnish Longitudinal study on Aging Municipal Employees (FLAME), 1981–2009.
Table 2b
Baseline characteristics of men (continued).
Table 3
Prevalence proportion ratios (PR) and 95% confidence intervals (95% CI) for the association between work-related exposures (biomechanical and job strain) and later life disability, Finnish Longitudinal study on Aging Municipal Employees (FLAME), 1981–2009.
| Work-related exposures | All | Women | Men | |||
|---|---|---|---|---|---|---|
|
|
|
|
||||
| PR | 95 % CI | PR | 95 % CI | PR | 95 % CI | |
| Biomechanical a | ||||||
| High vs low | 1.62 | 1.38–1.91 | 1.98 | 1.59–2.47 | 1.75 | 1.36–2.24 |
| Job strain a, b | ||||||
| Passive vs low | 1.72 | 1.27–2.32 | 1.40 | 0.95–2.06 | 2.16 | 1.40–3.35 |
| Active vs low | 1.50 | 1.09–2.07 | 1.25 | 0.82–1.92 | 2.12 | 1.31–3.43 |
| High vs low | 2.31 | 1.70–3.14 | 2.15 | 1.40–3.32 | 2.55 | 1.67–3.90 |
| Active vs passive | 0.87 | 0.63–1.21 | 0.90 | 0.58–1.38 | 0.98 | 0.61–1.58 |
| High vs passive | 1.34 | 0.99–1.82 | 1.54 | 1.02–2.34 | 1.18 | 0.77–1.80 |
| High vs active | 1.54 | 1.10–2.16 | 1.72 | 1.08–2.75 | 1.21 | 0.75–1.93 |
| Biomechanical c | ||||||
| High vs low | 1.35 | 1.14–1.60 | 1.69 | 1.33–2.14 | 1.47 | 1.13–1.92 |
| Job strain b, c | ||||||
| Passive vs low | 1.44 | 1.07–1.95 | 1.22 | 0.82–1.80 | 1.88 | 1.20–2.94 |
| Active vs low | 1.49 | 1.08–2.05 | 1.22 | 0.80–1.86 | 2.15 | 1.34–3.45 |
| High vs low | 1.94 | 1.42–2.65 | 1.86 | 1.20–2.87 | 2.24 | 1.44–3.48 |
| Active vs passive | 1.03 | 0.74–1.43 | 0.99 | 0.65–1.54 | 1.14 | 0.69–1.88 |
| High vs passive | 1.35 | 0.99–1.83 | 1.52 | 1.00–2.30 | 1.19 | 0.78–1.82 |
| High vs active | 1.30 | 0.93–1.83 | 1.53 | 0.95–2.44 | 1.04 | 0.63–1.71 |
| Biomechanical d | ||||||
| High vs low | 1.31 e | 1.10–1.55 | 1.49 | 1.17–1.89 | 1.37 | 1.06–1.78 |
| Job strain b, d | ||||||
| Passive vs low | 1.43 e | 1.06–1.93 | 1.13 | 0.76–1.69 | 1.99 | 1.26–3.13 |
| Active vs low | 1.37 e | 0.99–1.90 | 1.08 | 0.70–1.67 | 2.08 | 1.30–3.34 |
| High vs low | 1.71 e | 1.26–2.32 | 1.48 | 0.97–2.24 | 2.15 | 1.39–3.34 |
| Active vs passive | 0.96 e | 0.68–1.35 | 0.95 | 0.61–1.49 | 1.05 | 0.62–1.76 |
| High vs passive | 1.19 e | 0.89–1.61 | 1.30 | 0.87–1.96 | 1.08 | 0.71–1.64 |
| High vs active | 1.24 e | 0.88–1.75 | 1.37 | 0.86–2.17 | 1.03 | 0.62–1.71 |
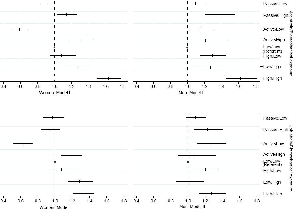
The joint prediction of disability in old age by job strain and biomechanical exposure in midlife are presented in figure 1 (all respondents) and figure 2 (gender stratified) respectively in two different models. In the model adjusted for age, the passive/high, active/high, high/low, low/high and high/high combinations of the categories of jobs strain and biomechanical exposures were on average highly associated with a unit increase in severity of disability in old age compared to low/low combination (model I) among all subjects and among men. Among women only passive/high, active/high, low/high, and high/high were highly associated (model I). Further adjustment for chronic diseases, occupational class, and other covariates in model II attenuated the estimates, but did not change the direction of associations among all subjects, women and men. The estimates for joint (high/high) job strain and biomechanical exposures described higher multiplicative interactions among all (PR 1.28, 95% CI 1.19–1.38), women (1.32, 1.21–1.45), and men (1.27, 1.13–1.44) in the final model compared to the low/low combination.
Figure 1
Prevalence proportion ratios (PR) and 95% confidence intervals (95% CI) for the association of later life disability and different combinations of joint work-related exposures (job strain and biomechanical exposure) of midlife among all subjects; model I: adjusted for age and tenure period; model II: further adjusted for gender, occupational group, chronic diseases, body mass index, alcohol intake, smoking status and physical activity; low/low category of exposures serve as referent (ref); Finnish Longitudinal study on Aging Municipal Employees (FLAME), 1981–2009.

Figure 2
Prevalence proportion ratios (PR) and 95% confidence intervals (95% CI) for the association of later life disability and different combinations of joint work-related exposures (job strain and biomechanical exposure) of midlife among women and men; model I: adjusted for age and tenure period; model II: further adjusted for occupational group, chronic diseases, body mass index, alcohol intake, smoking status and physical activity; low/low category of exposures serve as referent (ref); Finnish Longitudinal study on Aging Municipal Employees (FLAME), 1981–2009.

RERI estimates for the additive interaction of job strain and biomechanical exposure are shown in table 4 in two models. The joint prediction of high strain and high biomechanical exposure was additive among women in model I (RERI 0.27, 95% CI 0.04–0.49) but was attenuated and the direction was changed after further adjustment in model II.
Table 4
Estimates of excessive prevalence of higher disability due to interaction between job strain and biomechanical exposure expressed as relative excessive risk due to interaction (RERI) and 95% confidence interval (95% CI) for the association between joint work-related exposures (biomechanical and job strain) and later life disability, Finnish Longitudinal study on Aging Municipal Employees (FLAME), 1981–2009.
| Interactions | All | Women | Men | |||
|---|---|---|---|---|---|---|
|
|
|
|
||||
| Job strain/biomechanical exposure | RERI | 95 % CI | RERI | 95 % CI | RERI | 95 % CI |
| Passive/High | ||||||
| Model I a | 0.05 | -0.09–0.19 | 0.07 | -0.12–0.26 | 0.07 | -0.19–0.33 |
| Model II b | 0.05 c | -0.19–0.09 | -0.21 | -0.41– -0.01 | 0.16 | -0.07–0.39 |
| Active / High | ||||||
| Model I a | 0.22 | 0.06–0.38 | 0.57 | 0.38–0.77 | -0.10 | -0.42–0.21 |
| Model II b | 0.11 c | -0.05–0.28 | 0.38 | 0.18–0.58 | -0.14 | -0.44–0.16 |
| High / High | ||||||
| Model I a | 0.09 | -0.09–0.25 | 0.27 | 0.04–0.49 | 0.06 | -0.22–0.34 |
| Model II b | -0.06 c | -0.22–0.10 | -0.04 | -0.26–0.19 | 0.05 | -0.18–0.29 |
Discussion
The findings of this longitudinal study of a cohort of Finnish public sector employees provides a strong evidence that high job strain and biomechanical exposure in working life separately and jointly predict the severity of disability in later life. The higher level of both exposures was decidedly deleterious in both genders. The interactions of the high/high level of exposures compared to low-level in midlife was highly associated with a unit increase in severity of disability in later life among both women and men.
Although occupational activity and exposures is a crucial part of the daily lives of most adults, studies on occupational exposures as a potential source of ADL and IADL disability later in life are scarce. Only a limited number of earlier studies have acknowledged work-related exposures as the long-term risk factors of old age disability and impaired functioning (6, 14, 20, 25, 26). Heavy physical load and high job demands were reported to be a risk factor for a decline in physical functioning (27) and functional limitations (28) among the Dutch cohorts. Biomechanical exposure and job strain in working life significantly predicted post-retirement disability among the GAZEL cohort (14) and work disability among Norwegian employees (6, 29). Likewise, higher level of work-related exposures was found to be long-term risk factors for musculoskeletal disability (30), disability pensioning (12, 31–33), and other chronic conditions (34). The findings of the present study corroborate these earlier findings, however, the respondents of our study were older and the outcome of interest was disability related to ADL.
Even though studies on the association between work-related exposures in working life and disability are limited, there is a lack of consistency in the findings. The results of our study contradict the findings of a Swedish study, which reported that occupational physical activity had no significant association with ADL disability (35). In our study, biomechanical exposure, which includes frequent occupational physical activities, was associated with high likelihood of higher disability. The risk of disability and disorders depends on the extent of exposures and varies by occupational class (6, 16, 36). Physically demanding work in midlife was found to be associated with ADL disability among women in a study in Ireland (26). Similarly, longest held manual occupations carried high risk of ADL disability among a Taiwanese cohort (6) and the risk of disability pensioning in Swedish construction workers (37). Consequently, our findings are parallel with these earlier studies because the high risk of disability was attenuated but persisted after we adjusted our results for occupational class (white- versus blue-collar) in model II. Work-related exposures as risk factors for future health outcomes may vary by gender (14, 16, 25, 38). The gender specific variation was clearly seen in our findings. The independent likelihood of higher disability due to high biomechanical exposure was higher among women and due to high strain was higher among men, which are parallel to the findings of (38).
An interaction effect is equally important along with the independent effects of work-related exposure on health functioning outcomes (33). Biomechanical exposure and job strain in working life jointly predicted post-retirement disability in the GAZEL cohort (14). Likewise, elevated risk of musculoskeletal disability was associated with combined high physical and psychosocial work exposures in a working population in Sweden (38) and in the UK (39). Our findings are in line with these earlier studies, although there were some differences in the follow-up period, methodological considerations, the age of the respondents, and type of disability. The joint effect was biological with a significant RERI of 0.32 in the GAZEL cohort (14), and we found a RERI of 0.27 among women for the high/high combination of exposures in the age-adjusted model, but it was not significant in the fully adjusted model. Similarly, the statistical estimate of joint exposure (risk ratio) was 3.6 for musculoskeletal disability among women in a Swedish cohort (38) and 1.91 in a mixed population in the GAZEL cohort (14) and the same estimate was 1.28 (PR) in our study. These variations could be explained by the differences in methods and outcome of interest. The exposure of interest used in (14, 38) was cumulative, but we used the exposures from baseline only. Furthermore, the outcome in those studies were more related to musculoskeletal-pain-related disabilities compared to ADL in our study. Our study has added some epidemiological evidence to the current body of literature regarding the risk of disability in old age associated with the joint work-related exposures in midlife. Prevention of high work-related exposures in midlife could be significant not only for better physical functioning and good health in midlife, but also and equally for better health outcomes in later life as well (25). Thus midlife is the best phase of life to start prevention of health problems of old age (5). Most of our findings highlight the significance of working conditions and low work-related exposures in midlife not only for proper physical functioning and good health in midlife but also for better physical functioning and reduction of the risk of disability in later life as well. Future studies should shed more light on the interactive predictability of these work-related exposures using different exposure models.
Strengths and limitations
One of the strengths of this study is a long prospective follow-up of almost three decades. Another strength is that our study involved a large representative sample of diverse occupations. Exploring the predictors of old age disability, a public health indicator among the rapidly growing elderly population is another potential strength. The information on retirement and mortality were taken from the national register rather than other sources, which increases the reliability of the study. This study contributes to the existing literature demanding interaction studies of longitudinal design investigating the interactions of work-related exposures in midlife to predict functional limitations and disability in old age. Among those who were alive, the response rate was significantly higher in all waves and almost half of the respondents from 1981 also responded in 2009 and the non-respondents were older than the respondents.
A potential limitation of the design was the availability of disability data from the last survey (2009) only and its self-reported nature, which could have possibly been a subject of information and reporting bias. Nonetheless, the assessment of ADL task and using the severity of difficulty in performing the task are taken as a valid and widely used measurement of old age health and functional status (18). Although both exposure variables were self-reported and were subject to reporting bias, we used the widely accepted Karasek model to create job strain. On the other hand, previous findings indicate at correlation between subjective and expert ratings on work-related exposures (40). The measurement of the exposure variable at a single time point at baseline could be the subject of an underestimation of the association, but we believe that the exposure level did not change much during the follow-up because almost 3/4 of the respondents did not change their jobs for >15 years (41). Furthermore, no major changes in their work were seen from the baseline survey until their retirement (41). The other drawback could be the lack of data on items like social support and supportive leadership at work, which has been shown to be associated with disability (8). The respondents in our study worked in the public sector, but the findings are relevant to private sector employees as well because in Finland the labor legislation applies equally to all sectors and occupations. The results could be generalized to countries with labor policies similar to those in Finland.
Concluding remarks
Job strain and biomechanical exposure in working life separately and jointly predicted disability in later life. The higher the level of work-related biomechanical exposures and job strain in midlife the higher was the chance of increase in the severity of disability in later life. These findings imply the need for mitigating both of these exposures at work through proper workplace interventions that could help in beginning to prevent old age disability already in working age.



