Modern warehouses in the retail industry use digital logistics systems, which instruct the warehouse workers about what merchandise to pick through a headset or a vest mounted with a speaker. Manually picking and lifting merchandise from shelves/stands to pallets constitutes a large part of the daily activities warehouse workers perform (1). The warehouses hold company records containing information on the type and load (kg) of merchandises each worker handles, which enables the calculation of total lifting load during the working day (2). This information could be used to organize warehouse work to improve the physical working environment.
Occupational lifting entails a risk of developing low-back pain (LBP) (3, 4), which is among the most prevalent work-related musculoskeletal disorders (MSD) (5). In fact, MSD account for approximately half of absences from work and represent an overall estimated cost of work-related MSD of up to 2% reduced gross domestic product in the individual EU states (6). Furthermore, workers attending work despite feeling unwell or in pain also cost workplaces and societies due to reduced work productivity (presenteeism) (6). Additionally, a recent report from the Danish Health Authority shows that LBP itself produces a loss of productivity in Denmark of ~€2.7 billion due to absence from work, early disability and death compared to people without LBP (7). Using objective measures of load exposure, cumulative lifting loads, a work-related risk factor for developing LBP, has been found to increase both day-to-day and long-term development of LBP (8, 9). Besides increasing the risk of LBP/MSD, physically demanding work (including occupational lifting) is associated with higher levels of bodily fatigue (10, 11), which in turn represents a risk factor for developing pain (12). In turn, both musculoskeletal pain (including LBP) and bodily fatigue are significant predictors of future sickness absence (13, 14). Thus, examining the potential detrimental effects of occupational lifting is useful for increasing our current knowledge about how to organize manual work to prevent MSD.
Both physical and psychosocial job demands are important determinants of employee health and well-being (15). High physical and/or psychosocial job demands can increase the perception of strain (15), which is a known predictor of musculoskeletal pain (16). Perceived mental stress represents a psychological symptom for strain. Perceived stress can affect both physical and psychological well-being by increasing the risk of developing LBP (17) as well as depression and anxiety (18). Physically demanding occupations may, besides negatively affecting physical health, have detrimental effects on psychological factors as well, eg, leading to increased risk of mental stress (19). Consequently, high levels of work-related strain representing both physical and psychosocial job demands have been associated with higher odds of back pain (20). Thus, it is important to consider both physical and psychosocial job demands in order to prevent high strain.
Despite representing a large and highly global industry, little is known about the physical working environment among warehouse workers in the retail industry. In 2018, warehouse and transport workers in Denmark reported a high degree of occupational lifting and musculoskeletal pain (1). Out of 74 different job groups, warehouse and transport workers in Denmark ranked the 13th highest in relation to physical work demands (21) and 37th highest in relation to psychosocial work demands (22). However, limited evidence exists about associations between objectively measured occupational lifting loads in warehouses and health outcomes. The majority of studies investigating the association between physical job demands and health outcomes used questionnaires to quantify the physical exposures (3, 23, 24). However, assessing physical exposures and outcomes using questionnaire data entails a number of methodological limitations, which may bias the results, eg, by common-method variance (25). Using company records to objectively estimate physical exposures is a relatively cost-effective alternative that has previously shown promising results when examining scaffolding work (26). Furthermore, an exposure–response association between occupational lifting load quantified by company records and LBP intensity was observed among supermarket workers (9). Nonetheless, limited evidence exists about the association between occupational lifting and mental stress and fatigue.
The present study aimed to investigate the association between occupational daily lifting loads and LBP intensity, mental stress, and bodily fatigue after work and the following morning. Our primary hypothesis was that higher lifting loads would be associated with higher LBP intensity after work in an exposure–response manner. The secondary hypotheses were that higher daily lifting loads would be associated with elevated bodily fatigue in an exposure–response manner after work and LBP intensity and bodily fatigue would show the same pattern the following morning. Lastly, we hypothesized that higher lifting loads would be associated with elevated mental stress levels after work and the following morning, although not necessarily in a strong linear exposure–response fashion, given that psychosocial stressors are likely influenced by many factors besides lifting load.
Methods
Study design
This study is part of a 1-year prospective cohort study investigating the association between occupational lifting loads and work-related symptoms among retail industry warehouse workers in Denmark (2). Compared to our study protocol (2), several amendments have been conducted due to recruitment challenges and the COVID-19 pandemic from 2020–2022. These amendments are described in the supplementary material, www.sjweh.fi/article/4127.
The present investigation is a 3-week prospective cohort study with repeated measures combining company records of daily lifted merchandise per warehouse worker (exposure) with day-to-day information (twice-daily before and after work) about LBP intensity, mental stress, and bodily fatigue (outcomes, scales from 0–10). Daily questionnaires were sent for 21 days by SMS text messages in 12-hour intervals in the form of before and after work questionnaires, eg, at 06:00 and 18:00 hours each day. The time schedule of the daily questionnaires was chosen based on the workers’ working schedules. Preceding the 3-week observation period, the warehouse workers replied to a baseline questionnaire about physical and psychosocial working environment, general information, lifestyle, and health factors. Data collection spanned from September 2021 to March 2022. Reporting of the study follows the STROBE guidelines for observational studies (27). Figure 1 illustrates the flowchart of the study.
Participants
We invited 383 warehouse and construction workers to participate in the study, of which 278 replied to the baseline questionnaire (response percentage: 72.6%) (figure 1). Participants were included if (i) working ~30 hours/week or more in a retail industry warehouse, (ii) ≥18 years old, (iii) able to read and understand Danish or English, and (iv) replying to the baseline and 3-week daily questionnaires. In the present study, we only included participants included in the company records with information about total lifting load (kg) during the workday over the course of the 3-week observation period (N=85). The included warehouse workers were employed in ten different warehouse terminals affiliated in five different retail chains in Denmark. Some warehouse sites packed merchandise for supermarkets/hypermarkets, while other sites handled products of personal hygiene, clothes, household equipment, and bread. Leaders at the warehouses provided phone numbers on their employees who worked with stocking of merchandise and were willing to participate. We then invited the workers to participate in the web-based baseline questionnaire sent via a SMS text message containing a web-link to the questionnaire. Beforehand, the leaders informed us whether the workers should receive the questionnaires in Danish or English. The 3-week period started two weeks subsequent to receiving the baseline questionnaire. Table 1 provides information about the study sample.
Table 1
Lifting load is based on company records. The table is divided into information collected at baseline and during the 3-week period. [N=number of participants (baseline questionnaire) and total observations of daily lifting load (3-week period) included in the analyses; SD=standard deviation; BMI=body mass index].
Ethical aspects
Danish legislation does not require ethical approval to be attained for scientific questionnaire-based studies nor is informed consent from study participants needed. Nonetheless, all questionnaire data were stored on a secure server and handled anonymously. A data manager de-identified the data before the researchers initiated the data analyses. The project is registered at the Danish Data Protection Agency.
Prior to receiving the baseline questionnaire, workers received written and oral information about the project. When receiving the baseline questionnaire, the SMS text message comprised a brief explanation about the baseline questionnaire and a web-link directing to the questionnaire survey. When entering the web-link, the first page of the baseline questionnaire included a thorough description of the project, their rights as participant, and contact information on the project leader.
Company records (exposure)
During the 3-week study period, the leaders at the warehouse sites provided company records with information on the merchandise handled by each warehouse workers. The level of detail varied between retail chains where some warehouses delivered total daily lifting loads per warehouse workers (kg), while other provided type, weight, and quantity of all merchandise handled per worker. In these detailed company records, the total daily lifting load represented the sum of the load of all merchandises manually handled.
Before initiating the statistical analyses, the principal investigator examined all the detailed company records to remove loads not manually lifted. This was conducted by agreeing on some criteria with the site leaders on unrealistically high values of individual lifting loads and quantity of merchandise.
Daily questionnaires (outcome)
SMS text messages were sent to all participants via a web-based survey platform (SurveyXact) containing a short text and a web-link directing the user to the survey questions. Participants replied to questions about LBP intensity, mental stress, and bodily fatigue. We measured LBP intensity using the validated numeric rating scale (NRS) of 0–10 by asking “How much pain do you experience in your low back this morning?”, where 0 represented “no pain at all” while 10 was “worst imaginable pain” (28). Symptoms for daily variation in mental stress level was examined by the question “How stressed do you feel this morning?”, answering on a 0–10 scale with 0 being “not stressed at all” and 10 being “maximally stressed”. We measured fatigue using the validated NRS–Fatigue of 0–10 with the question “How tired are you in the body this morning?”, where the participants replied by choosing a number between 0–10, where 0 was “not tired at all” and 10 was “completely exhausted” (29, 30). In the morning, all questions ended with “… this morning”, while after the working day questions ended with “… this evening”. For participants on night shifts working from the evening until during the night, the question before work ended with “… this afternoon”, while we framed the question after work ‘… this morning”. Throughout the article, we refer the “before work” estimates/replies as “the following morning”, also among workers on nightshifts.
Potential confounders
We adjusted the analyses for relevant confounders. In the minimally adjusted models, we adjusted for sex (categorical: man, woman), age (continuous), employment with lifting work (continuous), daily working hours, job title (eg, picker, packer, supervisor) (categorical), LBP intensity during the past four weeks (continuous, NRS 0–10), chronic LBP defined as LBP several times weekly during the past 3 months (categorical: yes, no), and perceived stress within the last two weeks prior to baseline (categorical: all the time, often, sometimes, rarely, never). In the fully adjusted models, we additionally adjusted for the following lifestyle- and work-related factors: smoking (categorical: yes, no), leisure-time physical activity (categorical: sedentary, light, moderate, vigorous), body mass index (BMI, kg/m2, continuous), influence at work (categorical), access to necessary work tools (categorical), role clarity (categorical), guidance (categorical), community and cohesion between colleagues (categorical), recognition (categorical), respectful relationship between leader and employees (categorical), and fairness (categorical). The reply options for influence at work, access to necessary work tools, role clarity, guidance, community and cohesion, recognition, respectful relationship, and fairness were “to a very large extent”, to a large extent”, “somewhat”, “to a small extent”, “to a very small extent”.
Statistical analyses
Linear mixed models with repeated measures (Proc Mixed, SAS version 9.4, SAS Institute, Cary, NC, USA) tested the association between variables. Working teams were entered as a random factor to account for clustering. Participant was entered as a repeated factor (21 days) with an autoregressive covariance structure. Outcome variables were LBP, mental stress, and bodily fatigue after work as well as the following morning/day before work (depending on the work schedule). The analyses were adjusted for the confounders mentioned previously. The explanatory factor was total load (kg) (categorical variable). Results are reported as least square means (LSM) and differences in LSM and 95% confidence intervals (CI). An alpha level of P<0.05 was considered as statistically significant.
Results
Participant characteristics
Mean age of participants was 38.2 (SD 12.7) years and 65.1% were men. On average, they tended to be overweight with a mean BMI of 25.0 (SD 4.4) kg/m2, and 28.9% were sedentary during leisure. At baseline, participants reported a mean LBP intensity of 4.8 (SD 2.7) points (NRS) during the preceding 4 weeks, and 43.4% had experienced LBP several times weekly during the past three months (ie, chronic LBP). On average, participants worked 7.7 (SD 0.9) hours per workday and manually lifted 1667.2 (SD 1886.7) kg per workday (range: 0–9998.4 kg).
Low-back pain
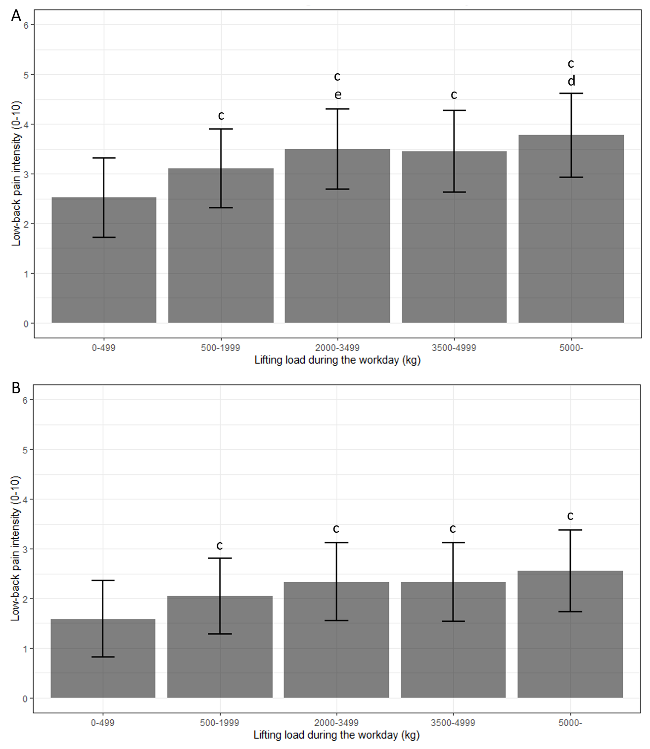
Higher total lifting loads were associated with higher LBP intensity (table 2, figure 2), although not in a linear exposure–response fashion. Compared to lifting 0–499 kg, the minimally adjusted model showed that lifting 500–1999 kg was associated with an elevated LBP intensity of 0.52 points (95% CI 0.03–1.00) after work, while lifting ≥5000 kg was associated with an elevated LBP intensity of 1.20 points (95% CI 0.43–1.96). The following morning, LBP was elevated in the minimally adjusted model by 0.43 points (95% CI 0.02 –0.84) when lifting 500–1999 kg the preceding day, while lifting ≥5000 kg was associated with an elevated LBP intensity the following morning by 0.91 points (95% CI 0.21–1.60).
Table 2
Associations between daily lifting load and low-back pain intensity after the workday and in the following morning. [LSM=least squares means; CI=confidence intervals].
a Minimally adjusted model: Adjusted for age, sex, job title, years of employment, daily working hours, low-back pain intensity the preceding 4 weeks prior to baseline, chronic low-back pain, and perceived stress during the two weeks prior to baseline. b Fully adjusted model: Minimally adjusted model + BMI, leisure-time physical activity, smoking status, influence at work, access to work tools, role clarity, guidance, community and cohesion between colleagues, recognition, respectful relationship between leader and employees, and fairness. c Statistically significant different from 0–499 kg (reference). d Statistically significant different from 500–1999 kg. e Tendency towards a statistically significant difference from 500–1999 kg (P=0.06).
Compared to lifting 0–499 kg, the fully adjusted model showed that lifting 500–1999 kg was associated with a higher LBP intensity of 0.59 points (95% CI 0.10–1.08) after work, while lifting ≥5000 kg showed an elevated LBP intensity of 1.26 points (95% CI 0.48 –2.03) (table 2). The following morning, LBP intensity was 0.46 points higher (95% CI 0.04–0.87) when lifting 500–1999 kg the day before, while lifting ≥5000 kg was associated with an elevated LBP intensity of 0.97 points the following morning (95% CI 0.27–1.67).
Figure 2
Association between total lifting load during the workday and low-back pain intensity (absolute estimates) after work (A) and the following morning (B) in the fully adjusted model (NRS 0–10). c Statistically significant different from 0–499 kg (reference). d Statistically significant different from 500–1999 kg. e Tendency towards a statistically significant difference from 500–1999 kg (P=0.062).

Mental stress
Lifting ≥5000 kg during the workday was associated with higher mental stress after work by 0.74 points (95% CI 0.10–1.37) in the minimally adjusted model and 0.72 points (95% CI 0.08–1.36) in the fully adjusted model compared to lifting 0–499 kg (table 3).
Table 3
Associations between daily lifting load and mental stress after the workday and on the following morning. [LSM=least squares means; CI=confidence intervals].
a Minimally adjusted model: Adjusted for age, sex, job title, years of employment, daily working hours, low-back pain intensity the preceding 4 weeks prior to baseline, chronic low-back pain, and perceived stress during the two weeks prior to baseline. b Fully adjusted model: Minimally adjusted + BMI, leisure-time physical activity, smoking status, influence at work, access to work tools, role clarity, guidance, community and cohesion between colleagues, recognition, respectful relationship between leader and employees, and fairness. c Statistically significant different from 0–499 kg (reference). d Statistically significant different from 500–1999 kg. e Statistically significant different from 2000–3499 kg. f Statistically significant different from 3500–4999 kg. g Statistically significant different from ≥5000 kg.
The following morning, the minimally adjusted model showed a statistically significant association between lifting 2000–3499 kg and higher mental stress by 0.60 points (95% CI 0.12–1.08), with the fully adjusted model also showing mental stress to be 0.63 points higher (95% CI 0.15–1.11) (table 3).
Bodily fatigue
No association was observed between lifting loads and bodily fatigue. However, a trend to reach statistical significance was observed in the minimally adjusted model (0.74 points (95% CI -0.08–1.55), P=0.076) and in the fully adjusted model (0.75 points (95% CI -0.07– 1.57), P=0.071) between lifting ≥5000 kg during work and elevated levels of bodily fatigue in the following morning (table 4).
Table 4
Association between daily lifting load and bodily fatigue after work and on the following morning. [LSM=least squares means; CI=confidence intervals].
a Minimally adjusted model: Adjusted for age, sex, job title, years of employment, daily working hours, low-back pain intensity the preceding 4 weeks prior to baseline, chronic low-back pain, and perceived stress during the two weeks prior to baseline. b Fully adjusted model: Minimally adjusted + BMI, leisure-time physical activity, smoking status, influence at work, access to work tools, role clarity, guidance, community and cohesion between colleagues, recognition, respectful relationship between leader and employees, and fairness. c Tendency (P=0.07-0.08) towards a statistically significant difference from 0-499 kg (reference). d Tendency (P=0.06-0.07) towards a statistically significant difference from 500–1999 kg.
Discussion
The present study investigated whether LBP intensity, mental stress, and bodily fatigue were higher with progressively cumulated lifting loads in an exposure–response fashion after work and the following morning. Higher daily lifting loads were associated with higher LBP intensity after work and the following morning. Lifting ≥5000 kg was associated with elevated mental stress after work, while lifting 2000–3499 kg showed higher mental stress the following morning. No associations between lifting load and bodily fatigue was observed, although very high lifting loads (≥5000 kg) tended (P=0.071) to be associated with higher levels of bodily fatigue the following morning.
Interpretation of findings
The present findings that higher lifting loads was associated with more intense LBP in warehouse workers elaborates on previous reports (4, 8, 9, 31). While cumulative lifting loads recorded within a day as well as across multiple working years are known to increase the risk of developing LBP (4, 8, 31), only few studies have investigated the day-to-day development in LBP (9, 32). Because supermarket and warehouse workers predominantly handle the same merchandise, the present observations as well as the day-to-day findings by Andersen and co-workers (9) of an exposure–response association between daily lifting loads and LBP intensity provide important knowledge about how to organize the work to prevent development of LBP. However, in the previous literature, we lack evidence about this association among warehouse workers who typically are exposed to higher lifting loads. Although the present investigation in this population did not reveal a linear exposure–response association, higher lifting loads were associated with higher LBP intensity after work and the following morning. In fact, LBP intensity was 1.26 points (NRS) higher after work when lifting ≥5000 kg, which is considerably above the minimal clinically important difference of ≥1 point on a NRS 0–10 (33). This observation underscores the importance of quantifying total daily lifting loads to prevent the development of LBP. Additionally, the elevated LBP intensity the following morning (0.97 points) closely approached the minimal clinically important difference of 1 NRS point.
LBP intensity registered at baseline (cf. table 1) as well as the absolute analysis estimates (cf. table 2, figure 2) clearly demonstrate warehouse workers to be markedly affected by LBP. In result, even small increases in LBP intensity could have detrimental effects on health in this population. A recent study among 69 000 workers from the general working population in Denmark reported that LBP intensity ≥3 points (NRS 0–10) increased the risk of long-term sickness absence within two years of register follow-up (34). Thus, the LBP levels observed in the present population seem to lie within an area where the risk of long-term sickness absence is elevated. Given that MSD are costly for both employees, employers, and society (6, 7), the present results underscore the importance of work environmental initiatives for reducing the lifting loads at work to prevent LBP and long-term sickness absence among warehouse workers. In support of this notion, we recently found heavy lifting tasks to increase the risk of long-term sickness absence in an exposure-response manner among 45 000 workers from the general working population in Denmark performing lifting work, ie, the heavier objects lifted, the higher risk of long-term sickness absence (35). Additionally, lifting for a large part of the workday increased the risk of long-term sickness absence (35). Consequently, initiatives to improve the physical working environment is crucial to prevent musculoskeletal health problems and maintain productivity.
The present study showed that very high lifting volumes (≥5000 kg) were associated with elevated mental stress after work, which elaborate on previous findings that physically demanding work can increase mental stress (19). The high lifting volumes may indicate a busy workday resulting in higher work pace/pressure, potentially affecting the mental stress level (15). Furthermore, because warehouse workers typically receive continuous instructions from the logistics system on what merchandise to pick, working at higher pace may result in higher lifting loads per workday. These factors comprise both physical and psychosocial job demands, leading to increased strain represented as mental stress (15). Besides experiencing increased strain, increased mental stress predicts musculoskeletal pain, including LBP (16, 17), which is consistent with the biopsychosocial origin of pain (36). Furthermore, the present study observed an association between lifting 2000–3499 kg and higher levels of mental stress the following morning. As this is the only lifting interval showing a statistically significant difference, the finding may be the result of statistical uncertainty or that workers in this lifting interval may have other mentally stressful job tasks. However, the observed stress estimates are relatively low, and therefore should be interpreted with caution.
Our hypothesis about an exposure–response association between cumulated lifting load and fatigue was not confirmed. However, an association tended to be observed for fatigue in the following morning when lifting ≥5000 kg (P=0.071). Previous studies have documented associations between physically demanding work, including lifting work, and increased bodily fatigue (10, 11, 37), whereas we lack evidence on associations between total daily lifting loads and fatigue in manual job conditions. Several factors may explain the lack of clear associations with fatigue in the present study. The 12-hours interval between the daily questionnaires may result in some workers ending their workday 3–4 hours before receiving the ‘after work’ questionnaire. This could affect the results because participants may have restituted from fatigue during the initial post work hours. Furthermore, the feeling of pain could potentially suppress the perception of fatigue after work, resulting in a lower rating of perceived fatigue. Further, the perception of fatigue may remain partially suppressed in the following morning, which may explain the borderline significance. Together with the low sample size, these factors may contribute to the lack of clear associations between lifting load and fatigue.
The daily mean lifting loads observed in the present study were higher than previously reported for supermarket workers (9), and the standard deviation shows a large variation in the lifting loads (cf. table 1). This variability was mainly due to a high number of observations with low lifting loads (0–499 kg). Furthermore, workers with high physical capacity, who may tolerate high lifting loads, could represent a relatively large part of the total observations in the ≥5000 kg interval, suggestive of a healthy worker effect (38). Conversely, the large inter-individual variations in lifting loads presently observed could represent a potential to homogenize the lifting tasks and volume more equally between warehouse workers.
A previous study among scaffold workers found the use of company records to be an accurate and cost-efficient method assessing the physical exposure objectively, finding an explained variance of 77–92% in the number of lifting tasks (26). Furthermore, a study from our lab used company records to investigate associations between total daily lifting loads and day-to-day changes in LBP intensity (9). Previously, prospective associations between physical job demands and health outcomes have used questionnaires to estimate the physical exposure (3, 23, 24), which comprises well-known methodological limitations. In contrast, highly detailed technical measurements of the physical workload during workdays by means of accelerometers, 3D motion capture, video-observations, and force measurements (8, 39–42), are time-consuming, expensive, and require a high level of technical expertise. Besides being more cost-efficient and providing objective data on cumulated exposure, warehouses (and other workplaces) hold company records, which support the potential to plan the work and distribute the lifting loads more equally between the workers to reduce the prevalence of very high lifting loads.
Limitations and strengths
The present study comprises both limitations and strengths. The relatively low sample size (N=85) represents a limitation of the study. Approaching the planned sample size (2) would increase the statistical power and allow a narrowing of the load categorizations. Conversely, the repeated measure design increases the statistical power, and the current study sample allowed analyzing the exposure variable categorically. On the other hand, employing a repeated measures design as in the present study carries the risk of a relatively high within-worker variance (43). In such instances, a fixed-effect model would be more viable than a random-effects model, given its ability to negate time-independent unmeasured confounding, effectively allowing the worker to serve as his/her own control (43). We therefore calculated the within- and between-worker variance of the exposure measure (load lifted per day), which showed that the total variance was distributed in 22% within-worker variance and 78% between-worker variance. This affirmed that a mixed model would be more appropriate than a fixed model, leveraging the repeated measures study design to its fullest potential. Questionnaire data are prone to common-method variance where a person’s mood, health status, and interpretation can influence the replies (25). By contrast, using company records to measure the exposure objectively represents a methodological strength of the study. Because the workers subsequently replied questions about perceived work-related symptoms (outcome variables) after work and the following morning, the study design was able to separate the exposure and outcome in regards to source and time. Furthermore, the repeated measures design with twice-daily questionnaires for 21 days eliminated recall bias. As a limitation with the present study, however, only total lifting load was quantified. Warehouse workers often perform other work tasks, which could have contributed to decrease the estimates and widen the CI. Furthermore, during stocking of pallets warehouse workers are exposed to worsening factors in terms of excessive lifting heights, asymmetrical lifting, and awkward work postures, which increases the loads on muscles and joints (41, 42). Using validated NRS for LBP (28) and fatigue (29, 30) strengthens the study. The scale used to measure daily mental stress is not validated, but 0–10 scales are frequently used to detect changes, eg, daily changes in mental stress using Borg CR 10 (44). Lastly, we adjusted for relatively many relevant confounders, which may lead to overadjustment, although we carefully kept the confounders to a minimum.
Concluding remarks
This study found occupational lifting to affect both physical and psychological work-related symptoms. Using company records as an objective measure of physical exposure, higher total daily lifting loads were associated with elevated LBP intensity after work and the following morning, with high lifting loads showing clinically significant elevations in LBP. Furthermore, higher lifting loads were associated with higher mental stress after work, while no statistically significant associations were observed between lifting loads and bodily fatigue. Warehouse administrations could use company records of loads lifted to organize the distribution of warehouse work among employees in a manner that reduce the high lifting loads and equalize total lifting work between workers to prevent musculoskeletal health problems and promote physical and psychological well-being.